Welcome to your Physics national exam 2014
Choose the best answer from given alternatives
You may refer to the information given below
when you need to work on some of the questions.

1.
An object is placed 25.0 cm in front of a concave mirror having focal length of 10. 0 cm. The magnification of the mirror is
2.
Which of the following statements distinguishes between random and systematic errors?
3.
The unit vector the direction 
4.
Which of the following pair of vectors are collinear?
5.
For an object moving in straight line,
6.
Which of the following is true about satellite motion?
7.
A block of mass m is placed on horizontal surface. The coefficient of static friction between the block and the surface is µ . A force of magnitude F acts on the block at an angle θ as shown in the figure below.

The minimum magnitude of the force F
required to slide the block on the surface is
8.
A ball of mass m moving with a speed v strikes a hard ball at an angle θ with the wall. It is reflected with the same speed at the same angle as shown in the figure below.

If the ball is in contact with the wall for time t
, then the average force acting on the wall is given by
9.
According to the work- energy theorem,
10.
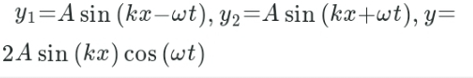
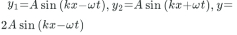
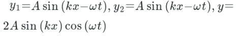
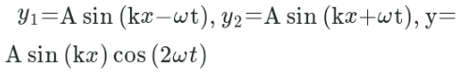
Standing wave is formed when two identical waves travelling in opposite directions in the same medium interfere with each other. If y1 and y2 are the interfering waves and y= y1+ y2 is the resulting wave, which of the following in a circular is a correct combination?
11.
A young double slit experiment consists of two narrow slits separated by 0. 06 mm and 1.2 m away from a screen. If the slits are illuminated with a light of wavelength s63 » , the location of the fourth bright fringe on the screen is
12.
An electric dipole consists of a negative charge —q placed at a point with x and y coordinates (—2, — 2) and a positive charge +q at (2, 2). The dipole is placed in a uniform electric field
directed i
n the positive x direction. If the dipole axis makes an angle θ
with the field, which of the following is true about the dipole?
13.
The electric potential at a distance of 2 cm from -1.6 change is
15.
Consider a long and tightly wound solenoid length L and N tightly wound solenoid carrying current I, having length, which of the following describes the magnetic field produced by the solenoid?
16.
According to the law of electromagnetic induction,
18.
According to the Heisenberg's uncertainty principle,
19.
The graph of nuclear binding energy per nucleon (BE/A) versus mass number (A) has its peak near an atomic weight A—56. Which of the following statements is true about the graph?
20.
Which of the following statements is NOT correct about reflection and refraction of sound waves and their applications?
21.
A torque T rotates an object of mass and moment of inertia I through an angle θ. The work done on the object by the torque is
22.
A satellite revolves around the earth in a circular orbit of radius =4 X 10-16 The period of the satellite is
23.
One of the following statements is a correct description of the charging processes?
24.
A parallel plate capacitor is charged with a battery. The battery is then disconnected, and a dielectric material is inserted between the plates of the capacitor. Which of the following is correct about the effect of the dielectric?
25.
Which one of the following statements is correct about the resistance of a conductor with a circular cross-section?
26.
A student wants to investigate Ohm’s law using an ammeter ( A ) and a voltmeter (V) to measure current through and potential difference across a resistor R. Moreover, she employs a rheostat to vary the potential difference across the resistor. Which of the following connections is the correct set up of the circuit to perform the experiment?
27.
Circular paths followed by two charges q1 and q2 moving the same speed in uniform magnetic field directed into the page (x) are shown in the figure below. If the two charges have the same mass, which of the following is correct about the sign and the magnitude of charges?
28.
The primary coil of a transformer has 250 turns and its secondary coil consists of 1500 turns. If 220 V is applied to its primary coil, the voltage induced in the secondary coil, respectively, are
29.
A diode is an electronic component that
30.
Three forces, each having equal magnitudes of 10 N, are applied to an object on a horizontal A force F1 makes an angle of 300 above positive x—axis, F2 makes 300 above the negative x-axis, and the third Force F3 is directed along the positive x-axis.
The magnitude and direction of their resultant force are, respectively.
31.
A student throws a ball vertica8y upward with a speed of 20 m/s, The maximum height reached by the ball and its velocity 30 s aft
32.
Which one of the following statements describes the difference between different types of friction?
33.
The apparent weight of a 60 kg student standing inside a lift is
34.
Which of the following statements describe the use of energy resources?
35.
A student wants to raise an object of mass m through a height h using an inclined plane that makes an angle θ above the horizontal. If I is the length of the inclined surface, which one of the following is correct about the actual mechanical advantage (AMA) and ideal mechanical advantage (IMA) of the inclined plane?
36.
According to the law of floatation, an object must displaces a volume of fluid
37.
Which one of the following statements describes the unusual behavior of expansion of water?
38.
A 40 g of water at 50° C is poured into a well-insulated 30 g of copper calorimeter at 20° C. The temperature of water at equilibrium becomes.
39.
An FM radio signal is transmitted from a radio station at a frequency of 1.5 X 108 Hz . If the wavelength of the radio wave is 2. 00 m, the speed of the FM signal is
40.
Which one of the following statements is correct about transformation of mechanical energy into other forms and the law of conservation of total energy?
41.
A wheel rotating at angular speed of 20rev/s is brought to rest after 40 rev under a constant angular acceleration. The angular acceleration of a point on the wheel is
42.
The parallel axis theorem states that if Icm is the moment of inertia of a body of mass M about an axis passing through its center of mass (cm), its moment of inertia about any axis
43.
Three forces of equal magnitude are exerted at the center of a uniform beam of length L and negligible mass, as shown in the Figure.
44.
Tensile stress is the
45.
A certain fluid has a density of 1080 kg/m3 and is observed to rise to a height of 2.1 cm in a 1.0 mm diameter tube. If the contact angle between the wall and the surface is zero, the surface tension of the fluid is
46.
A slab of thermal insulator has a cross-section of 1 m 2 , a length 0 .2 cm, and thermal conductivity of 0. 1 J/(m.s°C). If the temperature difference between the opposite faces of the insulator is 100° C, the amount of heat flowing through the slab in 24 h is
47.
A 100 J of work is done on a system and 418.6 J of heat is extracted from it. According to the first law of then Mo dynamics, the change in the internal energy of the system is
48.
Which of the following statements describe the difference between reversible and irreversible processes?
49.
Which one of the following statements is correct about resonance in an oscillating object?