Welcome to your PHYSICS ENTRANCE 2015
Choose base has one more hydrogen and D one fewer minus charge than the corresponding base.
1.
Which one of the following units is NOT a possible unit of electric field strength?
2.
Which one of the following statements does NOT describe magnetic nature of a material?
3.
Which one of the following statements is correct about conduction in semiconductors?
4.
A small source emits sound wave measured and waves which are spherical. The intensity of the At what distance from the source would the inter the source is 1=5 W/m2. as it is at r=3.0 m ?
5.
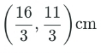
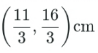
Consider a system of two point masses M1and M2. with M1=0.5M2The two masses are located on the X-Y plane as shown in the figure below.

Which one of the following alternatives indicates the position of center of mass of the system?
6.
What is the acceleration due to gravity at an altitude twice the radius of the Earth? ( gE is the gravitational acceleration on the surface of the Earth).
7.
flour capacitors are connected in a capacitor network as shown in the figure below.

The equivalent capacitance between terminals a and b in μF is
8.
A 64 V battery is connected to a series combination of 3kΩ bulb and 4kΩ electric iron. If the total current in the circuit is 8 mA , what is the internal resistance of the battery?
9.
A solenoid with 5000 turns and length 1 m carries 15 A of current. If no iron core is inserted in the solenoid, what is the magnetic field strength at the center of the solenoid?
10.
Light ray is allowed to enter from air medium ( nait=1 ) into water medium (inex of refraction nw=4/3 ) at an angle of 30º with the normal to air-water interface (boundary). Which one of the following is correct about the ray of light?
11.
A fluid travelling over an objects surface exerts less pressure than if the fluid was static. This is a statement of
12.
Which one of the following activities of experiment is NOT necessary to determine the specific latent heat of vaporization of water?
13.
Which one of the following statements is correct about critical and boiling points of a substance?
14.
A 30 kg rigid object has a moment of inertia
45 kg m2about its center of mass. What is the object's moment of inertia when it rotates through an axis 2 m a way and parallel to the axis through its center of mass?
15.
Two coplanar forces acts on a uniform beam as shown in the figure below.

the moment of force on the beam is
16.
Water flows at the rate of 500.0 cm3/s at small cross-section 5 cm2. The larger cross-section is 25 cm2. What is the ratio of the speed of the water at A1 to A2.

17.
An ideal monoatomic gas expands adiabatically from an initial volume of 2 liters at a temperature of 300 K to 16 liters of volume. What is the final temperature of the gas? (Use the ratio of specific heat capacity at constant pressure to that at constant volume to be 5/3.)
18.
Consider a particle performing a circular motion around a circle of radius r, with an angular velocity w and the particle's projection on the horizontal diameter of the
circle (between points Q and R ) as shown in
the figure below?

Which one of the following statements is correct about the motion of the particle and its projection on QR
19.
Air molecules vibrate in a pipe of length L closed at one end but open at the other. If the speed of sound through the pipe is V, Which one of the following statements is correct about the resonance effects of vibration of air molecules in the pipe?
20.
A monochromatic light of wave length λ passes through double slits separated by a distance d. If the path difference between the lights is P and n being an integer
(0, 1, 2, 3, . . ), Which one of the following
would be observed on screen behind the
slits
21.
Suppose you are standing on a horizontal floor, in a room, with one of your feet and leaning the wall of the room with the other foot. The number of action reaction pair of forces you experience is
22.
The amount of heat energy required to change a substance from a liquid to a gaseous state is known as
23.
Which one of the following is correct about mechanical waves?
24.
A boy in a journey covers his route by travelling 3.0 km east and 4.0 km north. What is the magnitude of his resultant displacement?
25.
The graph given below shows the velocity of a man travelling on a motorcycle as a function of time.

Which one of the following statements is correct about the velocity-time graph?
26.
A car of mass 1.50 x 103 kg collides with a wall and rebounds. The initial and final velocities of the car are vi =15.0 m's and vf =2.60m/s, respectively. If the collision lasts for 0.15 s , what is the magnitude of the average force exerted on the car?
27.
Starting from rest, a block of mass 5.0 kg slides 2.5 m down a rough 37° incline. The coefficient of kinetic friction between the block and the incline is μk=0.44. What is the work done by the friction force on block?
28.
An inclined plane is 20 m long and is inclined at an angle of 15° to the horizontal. If the effort required to push a block of weight 3, 000 N up the slope is 900 N , what is the efficiency of the inclined plane?
29.
A wooden block of volume 5.00 x 10-4 m3 floats partially submerged in water, and a small steel object of mass m is placed on top of the block. When m=0.25 kg, the system is ln equilibrium and the top of the wooden block is at the level of the water. What is the density of the wood?
30.
A bimetallic strip made up of iron and brass bonded together is used in a thermostat. The coefficient of linear expansions for iron and brass are 1.1 x 10-5 /K and 1.9 x 10-5 /K, respectively. Which of one the following phenomena occurs when the temperature changes?
31.
Which one of the following statements does NOT describe coherent light or interference of coherent light?
32.
Kirchhoff's junction rule is a consequence of conservation of
33.
Which one of the following statements describes the photoelectric effect interaction of radiation with matter?
34.
A positive point charge of 2μC is placed on the x-axis at the origin and a positive charge of 6μC and a negative point charge of —4μC are placed, respectively at x=-3 cm and x=+3cm on the x-axis. What is the net electric force on the 2μC charge?
35.
Consider a point charge Q in an electrostatic field and a point mass m in a gravitational field. Which one of the following statements is correct about the potential energy of the objects?
36.
Four resistors are connected to a voltage source as shown in the circuit diagram shown below

What are the current through the 3Ω resistor and the voltage drop across the 4Ω resistor, respectively?
37.
An electron moving with a speed of 2.2x l07 m/s east enters in the region of magnetic field strength of 5 x 10-4 T directed north. What is the magnetic force experienced by the electron?
38.
A magnetic field intensity of 4 x 10-4 T crosses a coil having face area 100 2 and 5 X 104 turns perpendicular to the face of the coil. If the magnetic flux in the coil set to zero within 2 ms . What is the magnitude of the induced emf in the coil?
39.
In a simple ac circuit, an inductor of 4pH and a capacitor of 9 pF are connected in series to each other and the combination is connected to an ac source. What is the angular frequency at resonance of the circuit?
40.
40 Electrons in a Sodium atom emit radiation when they move from a higher energy level of -0.81 eV to a lower energy level of -2.21 eV
What is the frequency of radiation emitted
in the process?
41.
Which one of the following statements is NOT correct about power of a lens?
42.
Which one of the following groups of physical quantities contains only vectors?
43.
Which rule about the number of significant figures is correct? Zeros in the number
44.
Given two vectors v1=10 units along the positive y-axis and v2=6 units at an angle of 37º above the positive x-axis. What is the scalar product of the vectors in square of units?
45.
An airplane takes-off at airport A and travels 500 km due east within one hour and then turning to south it flies for 20 minutes to land on airport B which is 100 km away from the turning point. The magnitude average velocity of the plane during its flight between the two airports is
46.
46 A bullet is fired with an initial speed v at an angle 0 with the horizontal. It takes a time T to reach its maximum vertical displacement hmax . It hits the target point a distance fi away and exactly in the horizontal level to the point where it was fired. Which one of the following statement is NOT correct about the motion of the bullet?
47.
A man pushes a 25.0 kg object by 250 N force along an inclined plane inclined at an angle of 37º to the horizontal. If the object moves with constant speed, the friction force exerts on the block is
48.
The following three collisions occur in different systems.
I. A billiard ball A collides with an identical ball B and comes to rest after collision, while ball B moves with the same velocity as ball A was moving before.
II. A bullet moving with speed * hits a suspended mass and it imbedded in it and the combination moves with common velocity.
III. Two cars moving in opposite direction become at rest after collision.
Which of the following statements is correct about these collisions?
49.
An object of mass M is attached to a spring of spring constant N, as shown in the figure below.

If the mass is pulled to a point P, which is at distance A from equilibrium position O , and released, Which one of the following statements is correct about energy of the system? (assume the surface is frictionless)