physics 2008

Welcome to your physics 2008

1. 
A man is standing on a spring scale in an elevator. When the elevator is at rest, the scale reads 560N. When the elevator stars to move, the scale reads 600N. The elevator has

2. 
What is the necessary and sufficient condition for conservation of linear momentum?

3. 
Which statement is wrong about units and dimensions?

4. 
An airplane flies at speed of 720.0 km/hr at 37° North of west direction. How far does the plane travel to the west in 1 hour?

5. 
Abrehet (A), Bekele(B) and Chaltu(C) are pulling a box horizontally with forces , respectively as shown below, which statement is correct if the box is in equilibrium

6. 
Determine the torque in Nm due to a force F =(2i � 3j + 4k)N acting at point r=(3i + 2j + 3k)m about the origin?

7. 
An airplane travelled from Addis Ababa to Mekele, 780km in 45minutes. What was it average speed?

8. 
An example of a body moving with constant speed but still accelerating is

9. 
A student moves along the boundary of a square field of side 10m in 40sec. if he starts from one end of the corners of the square what will be the magnitude of the displacement of the student at the end of 2 minutes and 20 seconds from his initial position?

10. 
The graph below illustrates the position and time for a cat that runs to catch a rat and then returns with it The cat caught the rat after 2 seconds. What was the cat�s average speed as it returned with rate

11. 
A uniform 6m long and 600N beam, rest on two supports as shown. The forces exerted on the beam by the right support B is closes to:

12. 
rod PQ is attached at P to a vertical wall, as shown in the figure below. The length of the rod is 1.8m. The weight W of the rod acts at 0.60m from P. the rod is kept horizontal and in equilibriums by a wire attached to Q and to the wall at R. The wire provides a force F on the rod of 50N at 30° to the horizontal. By taking moments about P determine the weight W of the rod.

13. 
A large mass (A and a small mass (B) are pushing one another apart, as shown in the figure below. The small mass moves away at a velocity of 20m/s to the right. What is the recoil velocity of the large mass?

14. 
Find the distance of the center of mass of the system shown in the diagram from point A. The rod is mass less

15. 
The area under a force versus distance graph represents

16. 
A net external non zero force acts on a particle that is moving along a straight line which one of the following statements is correct?

17. 
Which statement is correct about conservative and dissipative force?

18. 
The rotational analogue of mass is

19. 
A fly wheel is rotating with an angular velocity of 2.0rad/s acted by an acceleration of 1/ℼ rad/s2. How long will it take to complete three revolutions?

20. 
If the impulse of a rotating disc is non zero what can you conclude?

21. 
The number of joules of heat energy required to raise the temperature of a body by 1k is

22. 
A simple pendulum is made using a long thin metal wire. What happens to the period of the pendulum when the temperature drops?

23. 
Pressure at the bottom of a liquid column is independent of:

24. 
The definition of Youngs modulus is given by

25. 
A water pipe has a diameter of 5.0cm in the in let side and 1.5cm in the out let side. Water flows at 0.50m3 per minute at the in let paint. What is the speed of the water at the out let point?

26. 
A metal ball has a diameter that is slightly greater than the diameter of a hole that has been cut in to a metal plate. The coefficient of linear expansion for the metal from which the ball is made is greater than that for the metal of the plate. Which one of the following procedures can be used to make the ball pass through the hole?

27. 
A billiard ball of radius 4cm is falling through a liquid of viscosity 0.985 at a velocity of 2.5m/s the drag force on the ball is

28. 
Which one of the following statements is correct?

29. 
Two bodies that are separately in thermal equilibrium with their body must be in thermal equilibrium with each other. This statement is statement of

30. 
A device for transforming heat energy to mechanical energy is referred to as

31. 
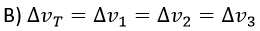
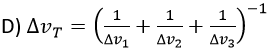
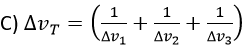
Three resistors connected in series have individual voltages labelled,Δv1, Δv2 and Δv3 respectively. Which of the following expresses the value of the voltage ΔvT taken over the three resistors together?

32. 
Which instrument should ideally have zero resistance?

33. 
What fundamental frequency can a string vibrate at if it is 30cm long and the velocity of traveling waves along the string is 120m/s?

34. 
The hearing curve shown below indicates the vibration of the threshold of hearing with frequency. The ear is most sensitive at the point indicated by

35. 
A wavelength is

36. 
The viewed in white light soup bubbles show color because of

37. 
In the sketch below, which best describes the location of the negative charges (electrons) when a negatively charged rod is brought near but not touching the conducting sphere

38. 
What is the potential (V) at a distance of 10m from a charge of +5.0C?

39. 
A positive charge of 1.0 x 10-4C is on the negatively charged plate of a parallel plate capacitor as shown below. If the potential(V) on the top plate is +10,000V and that of the bottom plate is -10,000V, how much work (w) is required to move the charge from the bottoms to the top plate?

40. 
Which of the following statements is NOT correct about galvanometer?

41. 
The activity of a radioactive source falls to one sixteenth of its original value in 32 minutes. What is the half-life in minutes of this decay process?

42. 
Which statements is Not correct about emission from radioactive isotopes?

43. 
The torque experienced by a current carrying loop, in an external, magnetic field is:

44. 
Two long wires of the same length and cross sectional area carry the same amount of current. Which one of the following statements is correct about the magnetic field and the magnetic forces on the wires?

45. 
Self-inductance is a quantity that describes

46. 
Which conversion process forms the bases for the function of an electric generator?

47. 
What is the change in magnetic flux in a coil of area 5m2 as its orientation relative to the perpendicular of uniform 3.0T magnetic field changes from 45° to 90°?

48. 
A simple transformer is illustrated in the figure below, why is it that the core is laminated?

49. 
To reduce the loss in power in the core due to eddy currents.

50. 
In photo electric effect, the energy of photoelectrons is proportional to the

Leave a Reply