Welcome to your Maths 2010
1.
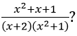
Which one of the following is true about signum, absolute value and greatest integer functions?
2.
What is the equation of the line that passes through (1, 1) and is parallel to the line 3y - x = 1?
3.
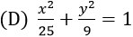
Which one of the following is an equation of the circle whose end points of a diameter are (0, -2) and (2, 2)?
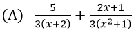
5.
What is the maximum value of the function f(x)= x4 - 2x2 on [-2, 1] ?
6.
If the truth value of (p ∧ ¬p) ⇔ [(q ∨ ¬q) ⇒ r] is True, then which one of the following must be True?
7.
Let A and B be two events. Suppose that the probability that neither event occurs is 3/8. What is the probability that at least one of the event occur?
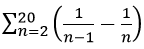
9.
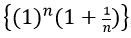
Which one of the following is a convergent sequence?
12.
If A is a square matrix of order 3 and det(A)=5, then what is the value of det(A.adj(A)) ?
13.
A salesman sold items x1, x2 and x3, with different rates of commissions as shown in the table below.
15.
The population of a certain city is increasing at a rate of 3% per year. If the population was 100,000 in 2010 E.C., then what will be the population in 2020 E.C?
16.
What is the slope of the tangent line to the graph of f(x)= 3ex + sinx + 2 at the point (0, 5)?
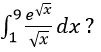
18.
What is the area of the region enclosed by the graph of y2= x + 1 and y2 = -x + 1?
20.
What is the area of the triangle (in sq. units) formed by the lines joining the vertex of the parabola x2 = -36y to the end points of the latus rectum?
22.
Let A be a 3 invertible matrix and B any be any3 matrix. If |A|= a and, |B|= b, then which one of the following is NOT true?
26.
Which one of the following is NOT true about the function f(x)= 3x4 - 4x3?
29.
A man running a race-course noted that the sum of the distance from the two flag posts from him is always 10 meters and the distance between the flag post is 8 meters. What is the equation of the path traced by the man?
30.
Suppose the following are the premises of an argument.
31.
The age distribution of students in a certain class is given below:
32.
Let A={1, 2, 3, 4, 5, 6, 7}, B={7, 8, 9} and C={8, 9, 10}. If one of the number is deleted randomly from each of these sets, what is the probability that all the three deleted numbers are even or are multiples of 3?
33.
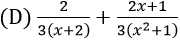
Let A be a 33 matrix and|A|= -2. Then what is the value of |adj(A)|?
34.
If the sum of the first three consecutive terms of an arithmetic progression {An}, with An > 0 for all n, is 9 and the sum of their squares is 35, then what is the sum sn of the first n terms?
35.
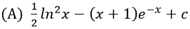
Let {an} be a sequence with a1 = a1, a2 = f(a1) = f(a), a3 = f(a2 ) = f(f(a)), an+1 = f(an), where f is a continuous function. 
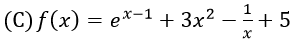
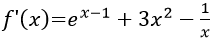
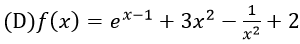
36.
If f(x)=1/3 x3 + cx2 + ax + 5 has a local minimum value at x = 1, then which one of the following is true about the possible value of a and c?
40.
A private college has 1000 students. 60% of these students are males. 45% of these students pay their payment by credit card including 175 females. What is the probability that the student is a male or a credit card user?
41.
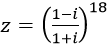
If z = (1 + √3i)(1 + i), then which one of the following is the polar representation of z?
44.
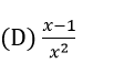
Let f(x) = ln(x√x). Then what is f '(x) equal to?
45.
What is the maximum possible area of a rectangle in square units with diagonal of length 16 units?
46.
Let U = ℕ (the set of natural numbers) be the universe. Which one of the following proposition is true?
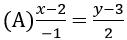
48.
A cylindrical tank whose inner diameter is 2m contains 4π m3 oil. If the oil discharged from the tank at the rate of (2π/3) m3/min, then how long (in min) does it take for the tank to be empty?
50.
The variance of 20 observation is 5. If each observation is multiplied by 2, then what is the variance of the resulting observations?
51.
If f(x) = klnx + esinx and f ''(π) = -1, then what is the value of k?
52.
If θ is the fourth quadrant angel and sec θ = √2 then what is cscθ equals to?
53.
Consider the following assertion:
55.
If, in ∆ABC, AB = 3, BC = 4 and m(∠B)= 60°, then what are the length of AC and the cosine of ∠A, respectively?
56.
Let P(n) be an open proposition on the set of natural numbers (N). Which one of the following is a correct application of the principle of mathematical induction?
57.
If the image of the line 2x - 3y = 7 under a translation is 2x - 3y = 0, which one of the following is a translation vector of the translation line?
58.
Let P = (1, α, α) and Q=(α - 1, 1, 1) be two points in space and the distance between P and Q is 3. Then what is the value(s) of α?
59.
What is the image of the circle x2 + y2 - 4x - 6y + 12 = 0 when it is reflected with respect to the line y = -x?
61.
In order to measure the height of a tower, suppose a surveyor takes two sightings from a transit 1 meter high which are positioned d meter s apart on the same ground level as in the figure below. If the first measured angle of elevation is α and the second is β and d ?
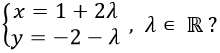
62.
Let l be the line given by the vector equation (x, y)=(-2, 1)+λ(1,1), λ∈R, which one of the following is the equation of the image of l after being translated by the vector u=(2, -1) followed by a rotation through 45° about the origin?