Maths 2008

Welcome to your Maths 2008

1. 
Which one of the following is a one to one correspondence function from A=[0, 1] to B=[1, 2]?

2. 

3. 

4. 
Which one of the following is equation of a circle whose center is on y-axis and radius is 3?

5. 
The planet Mercury's orbit around the sun is an ellipse with eccentricity 0.206, length of the major axis 1.16 x 108 km and the sun at one focus. What is the max distance from Mercury to the sun?

6. 
The graph of a hyperbola and the lines of its asymptotes are given as shown in the following figure. Which one of the following is an equation of the hyperbola?

7. 
If the truth value of a proposition p is False, then which one of the following compound proposition has a truth value True?

8. 
What is the contrapositive of "If x ∈ N, then x is integer and x > 0."?

9. 
Which one of the following compound propositions is a tautology?

10. 
The following is sample frequency distribution of data with variable x.

X      3           5           6           7     
Frequency      2           5           2           1     

11. 
A box contains 10 items of which 3 are defective. If 2 items are randomly taken out of the box, what is the probability that both items are not defective?

12. 
Items produced by accompany are subjected to two kinds of defects D1 and D2. Out of the total product, 5% have the defect D1, 10% have defect D2, and 2% have both defects. What is the probability that a randomly selected item has neither defect D1 nor defect D2?

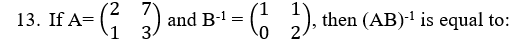
13. 

14. 

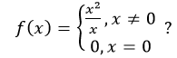
15. 
In set of complex numbers, what is the solution set of x2 + 4x + 5 = 0?

16. 
If z = (1 + i)10, then which one of the following is equal to z?

17. 

18. 
What is the sum of all multiples of 4 that are between 30 and 301?

19. 

20. 

21. 

22. 

23. 

24. 

25. 
Let f be twice differentiable function on R. which one of the following is necessarily true?

26. 
Suppose f(x) is differentiable on (-∞, ∞) and the graph of its derivative, y= f(x) is as shown in the following figure.

27. 
A closed cylindrical can is to be made to hold 1000 cm3 of oil. What are the dimensions (radius r and height h) that will minimize the total surface area of the can?

28. 

29. 

30. 

31. 
If f: A ⟶ B and g: B ⟶ C are functions, then which one of the following is true about the composition function?

32. 
If the point (3, -2) is on the graph of y = f(x), then which point is on the graph of y = f -1(x)?

33. 
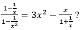
The equation of the line that passes through (2,-1) and perpendicular to the line 3x + 4y = 6 is:

34. 

35. 
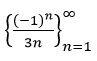
The nth term of the sequence: 1, -4, 9, -16,... is:

36. 

37. 
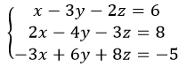
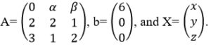
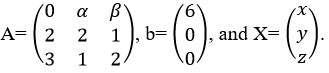
For any n x n square matrix A, which of the following is true? Not Answered

38. 

39. 
there are three children in a room, ages three, four, and five. If a four- year- old child enters the room then which one of the following is true?

40. 
In how many more ways can 4 people be arranged in a row than if they were arranged in a circle?

41. 
Two machines A and B work independently. The probability that both machines A and B work is 0.4. If the conditional probability that machine B works given that machine A works is 0.5, then the conditional probability that machine A works given that machine B works is

42. 
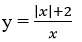
Which of the following is true about the function f defined by f(x)=x2 + e2x ?

43. 

44. 

45. 

46. 

47. 

48. 

49. 
50. 

51. 
If f(x)= 2 + ∣ x - 3 ∣ for all x, then the value of the derivative f ' (x) at x = 3

52. 
The graph of y = 5x4 - x5 has a point of inflection at:

53. 

54. 
Consider the following assertion of a person and his proof "If x and y are equal positive integers, then x + y = y."

Step Reason
1. x = y Given hypothesis
2. x2 = xy Multiply both sides of (1) by x
3. x2- y2 = xy - y2 Subtract y2 from both sides of (2)
4. (x - y) (x + y)=(x - y)y Factor both sides of (3)
5. x + y = y Divide both sides of (4) by x - y

55. 
Which one of the following is a valid assertion that can be proved by the principle of mathematical induction?

56. 
The image of a figure with vertices A(1, 2), B(3, 6), C(-1, 2), and D(-2, -2) after reflection across the x-axis is:

57. 

58. 

59. 

60. 
If cot(θ) = 2, then which of the following is equal to csc(θ)?

61. 
What is the amplitude and period, respectively, of the graph of f(x)= 4sin (x/3) cos(x/3)?

62. 
A boat on a sea sailed from its station toward North with constant speed of 80 km/h. Another boat from the same station sailed 600 NE (North East) with constant speed of 100km/h. If the two boats started sailing at the same time, what is the straight distance between them after they have sailed for just 30 minutes?

63. 

64. 
If one of the end point of the line segment is (3, 2, -4) and the mid-point is (4, 1, -2), then the coordinate of the other end point is:

65. 

66. 
In set of complex numbers, what is the solution set of x2 + 4x + 5 = 0?

Leave a Reply