Maths 2007

Welcome to your Maths 2007

1. 
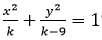
Which one of the following is the equation of an ellipse with centre at (1, 4), vertices at (10, 4) and (1, 2) is :

2. 
What is the maximum value of f(x)=2x2 - x4 - 4 on [0, 2]?

3. 
Which of the following is convergent sequence?

4. 
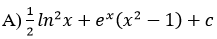
Let f(x)=2x(x2 + 1)4, then which of the following is an anti- derivative of f(x)?

5. 
Which one of the following is an arithmetic sequence?

6. 
Suppose that p represents the statement He missed the tournament q represents the statement He got the gold medal.� And r represents the statement �he took a trip abroad.�. then which of the following symbolic expressions represents the statement: If He took a trip abroad and he does not miss the tournament, then he get the gold medal.?

7. 

8. 
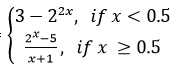
The Ozone level (in ppb- parts per billion) on a sunny day in metropolitan area is given by formula p(t)= 80 + 12t � t2 where t is time in hours and t = 0 corresponds to 9A.M. what is the rate of increase of Ozone level after 3-hrs(i.e. at 12 A.M)?

9. 
Which of the following functions is one to one correspondence?

10. 
Different codes, each of which consisting of five characters, are to be generated in such a way that the first two characters are any of the English capital letters (A to Z) and the remaining three are any of the digits (0, 1, 2,�,9). How many distinct codes can be generated ?

11. 
A certain meeting hall has 20 rows of seats. There are 20 seats in the first row, 22 seats in the second row, 24 seats in the third row, and so on. How many seats are there on the last (20th) row of the hall?

12. 
Two perpendicular lines l1 and l2 are intersecting at (-1, 2). If the angle of inclination of l1 is 450, then what is the equation of l2?

13. 
What is the area of the region between the graph of y= sinx and x-axis where 0 ≤ x ≤ 2π?

14. 
The following is the set of data representing the average mark of students: 91, 89, 93, 91, 87, 94, 92, 85, 91, 90, 96, 93, 89. Then which one of the following statements is true about the data?

15. 

16. 

17. 
What is the principal argument of (5 + 5i)11?

18. 

19. 
For arbitrary propositions p and q, which one of the following is a valid equivalence?

20. 
An object is moving along the parabola y= √2x in xy-plane. At what point on its path does the object become closest to the point (2, 0)?

21. 
If f and g are continuous on ℜ and a, b ∈ R, which one of the following is necessarily true?

22. 

23. 

24. 

25. 
What is the focus of the parabola y2 + 4y + 8x = 4?

26. 
A city has two daily newspapers, X and Y. the following information was obtained from the survey of 100 residents of the city: 35 people subscribe to X, 60 people subscribe to Y and 20 subscribe to both newspapers. Then how many of the people in the survey do not subscribe to either of the newspapers?

27. 
Which one of the following is necessarily true?

28. 

29. 

30. 

31. 
What is the sum of all multiples of 3 between 20 and 200?

32. 

33. 

34. 
If f(2)= -e, f(2)= 4, g(1) = -5, g(1)= 1 and F(x) = f(2x + 2)( g(x - x2)), then what is the value of F '(0)?

35. 
A ladder 6m long rests against a vertical wall. If the bottom of the ladder slides away from the wall at a rate (speed) of 0.5 m/s, how fast the angle between the top of ladder and the wall changing when the angle is π/4 rad?

36. 
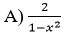
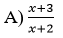
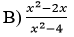
The value(s) of x where the graph of the function crosses its horizontal asymptote is (are):

37. 

38. 
Suppose that the first 3 letters (A, B, and C) and number digits are to be used to form car plates in a small town. How many different plates can be formed in total that contains 1, 2 or 3 letters and then followed by 3 digits?

39. 
A ball is thrown vertically from ground up to a height of 16m. Each time it drops h meters, it rebounds 0.80h m. noting that the ball travels every height of h twice, what is the total vertical distance travelled by the ball before it comes to rest?

40. 
Suppose that a function f has a property that f(x + y)= f(x)f(y) for all x and y and that f(0) = 2, f(0)= 1. Then which one of the following represents the formula for the derivative f�(x)?

41. 

42. 
Which of the following is NOT a tautology?

43. 

44. 

45. 
Which of the following functions could most likely be drawn as in the Figure 1 below?

46. 
A measurement is grouped in to five class intervals with the following frequency distribution.

Class Intervals      5-15           15-25           25-35           35-45           45-55     
Frequency      22           40           68           50           20     

47. 
The number of shoes s that a factory can produce per day is a function of the number of hours t it operates:

48. 
Three persons P1, P2 and P3 are firing at a target independently and have a probability 0.7, 0.5 and 0.4, respectively, of hitting the target. What is the probability that at least one of them hits the target?

49. 

50. 
The total cost (in Birr) of producing x radio sets per day is given by the expression 0.25 x2 + 35x + 25 and the price per set at which they may be sold id given by 50 - (0.5)x. What should be the daily output to obtain a maximum total profit?

51. 
A company manufactures x computer sets per month. The monthly marginal profit (in Birr) is given by: p(x) = 165 - 0.1x, for 0 ≤ x ≤ 400 The company is currently manufacturing 10 sets of computer per month, but is planning to increase production. What is the total change in the monthly profit if the monthly production increased to 60 sets?

52. 
If angle θ is an acute angle of a right triangle, what is the length of the side adjacent to θ, given the hypotenuse has 6 units length and sec θ = 10/3?

53. 

54. 
If each of the compound propositions P ∨ Q , P ⇒ R and ¬R is true, then which one of the following is True?

55. 

56. 

57. 
If P= (3, α - 1, α + 2) and Q= (2α + 1, 3, 3α) are points in space, what should be the value(s) of α so that the distance between the two points is 6?

58. 
If (-1, 2, 2) and (1, 0, -2) are end points of a diameter of a sphere, then which one of the following is true about the sphere?

59. 
Suppose that the equation x2 + y2 + z2 + 2x + 8z = 6(y + 1), represents a sphere. Where is the point (1, -1, 4) located relative to the sphere?

60. 
Two ships, one with angle of depression 600 due east and the other with 300 due west are observed from a plane 1,000 metres above sea. If the two ships are on the same line, what is the distance between the two ships?

61. 
What is the image of the ellipse (x - 1)2 + 4y2 = 1 under the transiation that takes (1, 1) to (0, 2) followed, by the reflection through the x-axis?

62. 
What is the amplitude and period, respectively, of the graph of f(x) = -6 sinx cosx ?

63. 
What is the work done (in joule) when a force of 50 Newton is used to pull a cart 20 meters along path if the force is at an angle of 600?

64. 
Suppose L is the line through the center of the sphere x2 + y2 + (z - 2)2 = 9 and the line intersects the sphere at (1, 2, 4). What is the cosine of the angle between L and positive z-axis?

65. 
Consider the formula for a natural number n ∈ N:

Leave a Reply