Maths 2006

Welcome to your Maths 2006

1. 
A water tank is a circular cylinder with base radius 2m and height 3m. If the tank is empty and water is pumped into it at rate of 2m3/min, how long does it take for the tank to be full?

2. 

3. 
Which one of the following represents a geometric sequence?

4. 

5. 
If F(x) is an ant derivative of f(x)= 1- 2/x2 and F(1) = 0, then F(2) is equal to:

6. 
Which one of the following expression is a polynomial expression?

7. 
What is the distance from the origin to the line that passes through (1, 0) and (0, 1)?

8. 
If the list of a measurement is 10, α, 5, α,5, 10, 20, 15,20,5 with mean a then α in terms of a is equal to:

9. 
The total cost (in Birr) of producing x iron sheets per day is C(x) = 1,000 + 100x - 0.5x2, 0 ≤ x ≤ 100. What is the marginal (rate of change of) cost at a production level of 80 iron sheets?

10. 

11. 
The following is the frequency distribution of a grouped data.

Class Intervals Frequency (f)
3-7 2
8-12 2
13-17 10
18-22 6

12. 
If (p ∨ q) ⇒ (¬ r ∧ r) is true, then which one of the following is necessarily true?

13. 
What is the actual value of the sum

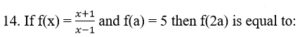
14. 

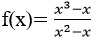
15. 

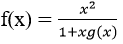
16. 
What is the equation of the directrix for the parabola whose equation is y2 + 8x + 6y + 25 = 0 ?

17. 

19. 

20. 

21. 
If distinct codes ( words of eight letters are formed by rearranging the letters in the word'ABBEBAYE', how many of the codes begin with B or Y?

22. 

23. 

24. 
What is the area of the region between the graphs of y = -x2 + 2 and y=|x|, where -1 ≤ x ≤ 2?

25. 

26. 
If two lines y=x and y= x - 4 are tangent to a circle at (2, 2) and (4, 0), respectively, then what is the equation of the circle?

27. 

28. 

29. 
Which one of the following is true?

30. 

31. 
If Qi, Di and Pi are respectively the ith ?quartile, decile and percentile of a data arranged in an increasing order, then which one of the following is necessarily true?

32. 
If , what is the slope of the tangent line to the graph of f at x=2?

33. 
If f(x) =e2x sinx, then f''(x) is equal to

34. 
If the equation (x - 2)2 - (y - 2)2 =1 represents a hyperbola, which one of the following represents equation of an asymptote to the hyperbola?

35. 

36. 
Which of the equations below is represented by the following parabola?

37. 
A company produced 25,000 bulbs and randomly tested 2% of the product. Among the tested bulbs, if 40 have defect of type D1, 60 have defect of type D2 and 25 have both types of defects, what is the probability that a bulb produced by the company had none of the defects?

38. 
A semi-elliptical arc over a tunnel for a road through a mountain has a major axis of length 80 meters and a height of 30 meters at the center. What is the equation of the semi-elliptical arc over the tunnel, if the center is considered as the origin?

39. 
Suppose AX=b, where A is a 3 x 3 matrix, b=(b1, b2, b3)T and X= (x, y, z)T. Which one of the following is necessarily true about this system of linear equations?

40. 

41. 
If S is a set with 10 elements and A ⊆ S, what is the probability that A has 3 or more elements?

42. 

43. 

44. 
If a box with square base open top is made from 1,200cm2 material, what is the largest volume of the box in cm3 ?

45. 

46. 
Which one of the following is a valid logical argument?

47. 
Suppose that equal squares are cut from each of the four corners of a square cardboard whose sides are 72 centimetres long. [see the figure below.] The resulting flaps are then folded up to form a box without a top. How long should be each of the four squares that has to be cut off to maximize the volume of the box?

48. 
What is the area of the region between the graph of f(x) = -x2 + 4x - 3 and the x axis from x = 0 to x = 3?

49. 

50. 
If F(x)=f(2x + 2) g(1 - x2), with f(2)= -3, f'(2) = 4, g(1)= -5, and g(1) = -5, then what is the actual value of F'(0)?

51. 
Suppose that an airplane is descending at a speed of 50 miles per hour at an angle of 300 below the horizontal line. What is the x and y components, respectively of the velocity of the plane in terms of mile?

52. 
If a point (2, 5) is reflected under a line to the point(-3, 1), what is the line of reflection?

53. 
Let the equation x2 + 2x + y2 = 8 represents a circle. Then which one of the following lines cut the circle at exactly two points?

54. 

55. 

56. 
What is the equation of a line that passes through the point (-1, -2) and parallel to the vector (1, -1)?

57. 
Suppose P and Q are point in space such that the midpoint of PQ is on the negative z-axis and the distance between P and Q is 6. If P=(2, -1, 0), then what is the coordinate of Q?

58. 

59. 
An observer on level ground is at a distance 10√3 m form a building. The angles of elevation to the bottom of the windows on the second and third floors are 300 and 600, respectively. What is the distance h between the bottoms of the windows?

60. 
The following is an assertion of a person and his proof. ?For any natural numbers n, n! < 10n.

61. 
What is the image of the line given by (x, y) = (-1, 0) + t(3, 6), t ∈ R, under the transition that takes (1, 0) to (0, 1) following by the reflection about the line y = 2x?

62. 
If θ = 2 arctan (1/2), then which one of the following is equal to sec(θ)?

63. 
If a translation T takes the circle x2 + y2 - 2x + 6y + 3 = 0 into the circle whose equation is (x + 2)2 + (y - 4)2 = 7, then what is the image of the origin under T?

64. 

65. 

Leave a Reply