Welcome to your mathematics Social national exam 2014
Choose the best answer from the given
Alternatives
1.
Consider ΔABC with right angle at C and in(∠ ABC)=55º. If the length of AC is 10 units, then what is the area of the triangle? T (Given tan35º =0.7 and tan55º =1.43)
tan 85 = 0.7 and tan 55 1. 43 )
. If the length of AC is 10 units, then what is the area of the triangle? T (Given
tan 85 = 0.7 and tan 55 1. 43 )
2.
The base of a right prism is a rectangle with sides 3 cm and 4 cm and the altitude of the prism is 5 cm. What is the total surface area of the prism?
5.
Below is a histogram showing the time taken to complete a test.

Based on the above histogram, which of the following is true?
6.
what is the solution set of the equation of 3=x2=1/9?
7.
Which one of the following is true about the trigonometric values of 855º
8.
which of the following true about the function y=sinx?
9.
The lower and upper bases of the frustum of a regular pyramid are equilateral triangles of side 3 cm long and 2 cm long respectively. If its slant height is 4 cm, then what is the lateral surface area of the frustum?
10.
which one of the following is true about the signum function ,f(x)=sgnx
11.
Which one of the following is the equation of a circle with center ( 2, - 1) and radius 3 units?
12.
Consider the ellipse given by the equation
4(x+1)2 +(y-1)2 =16. Which one of the following is the standard form of equation of the ellipse?
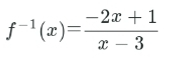
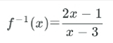
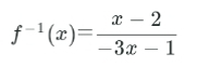
14.

Which one of the following is the inverse of f ?
15.
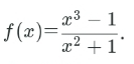
Consider the rational function
Which one of following is true about the
graph of f ?
16.
Consider the grouped frequency table for students' weight in a certain school.

What is the mean weight of the students?
17.
Let A={0, 2, 4, 6, 8, 9, 10} and B={1, 3, 5, 7, 9} . Which one of the following is true?
18.
Consider the polynomial function f(x) =ax4 - b
, where a and b are real numbers. Which one
of the following is true about f ?
19.
The solution set of inequality 3x² +35x -12 < 0 is.
20.
A closed right circular cone has a base radius 2 cm and slant height 3√2 cm What is the total surface area of the cone?
21.
Which of the following is true? A hyperbola is a locus of points in the plane so that
22.
Which of the following is the converse of; "If wages increase, then inflation decreases."?
24.
You happened to notice that the 8% sales tax that your paid on the new Television Set came to Birr 3,800. How much did the Television fog cost him?
25.
Voter turnout in the local school board elections declined 40% from law year. This year only 3600 eligible voters went to the polls. How many people voted in last years school board elections?
26.
Which one of the following statements is NOT true about the graph of the given linear inequality?
27.
Consider a line with equation y=mx+b Which of the following is true?
29.
Consider the function f(x)=x2-3x on[-1,2] What is the value x that satisfies the Mean Value Theorem?
30.
Hi carpenter wants to design a closed box that has a square base and total surface area of 54 cm² . What is the maximum volume that can be constructed with the given total surface area?
31.
What is the area of the region bounded by the line y=x and the parabola y =x2 on the interval [0, 3]?
32.
Which of the following is NOT true?
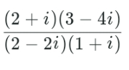
33.
what is simplified form of
?
34.
Consider two firms with the given mean income and standard deviation
firm mean income standard deviation
(in birr) (in birr)
Firm I 1,500,000 300
Firm I I 1,500,000 350
which of the the following is true ?
35.
consider the following data 6, 6, 7,7,7,8,8, then which of the following is true
36.
A painter buys 5 liters of paint for Birr 36 and 6 liters of the same brand paint for Birr 43 , Which of the following is true?
37.
One special perfume costs a cosmetic shop Birr 2,100. If the shop de sires a 25% markup rate based on the selling price, then which one of the following should be set as a selling price for this perfume?
40.
A line makes an angle of 145° with the positive x-axis. What is the slope of the line? (Given tan 35°-0.7)
41.
What is the solution set of 
43.
let p: 2 is prime number and q: 3 is an odd number. then the contrapositive and its truth value of the statement p⇒ q are respectively.
44.
The following table shows the test scores of 20 students in a class.

What is the variance of the given data?
45.
If two cards are drawn one after the other from a well shuffled pack of cards, then which one of the following is an independent event?
46.
A bag contains 2 red, 3 white and 1 black balls. We drawn two balls one after the other without replacement. What is the probability that the first ball is red and the second ball is black?
49.
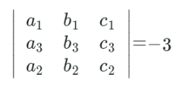
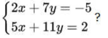
What is the solution of the system of linear
equations
50.
What is the area of an equilateral triangle inscribed in a circle radius 4 units?
51.
Consider the sequence 
Which one of the following is true about the sequence?
52.
which of the following is equal to
53.
A couple own a house that value Birr 2,000,000 The house added Birr 10,000 in the first year, Birr 10,400 in the second year, Birr 10,800 the third year and so on. What is the value of the house at the end 6 years?
54.
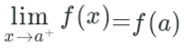
Let f be a function defined on an open interval about a real number a, except possibly at a itself. Which one of the following is necessary for
to exist?
55.
Let f be a function that is continuous at xo Which of the following is true about f ?
58.
what is the equation of the tangent line to the
graph of the function f(x)= ex at (1,e)?
59.
Water is flowing into a cylindrical water tank of radius 2 in and height 10m at a rate of 5m3/min . What is the rate change of the height when the water level is 6m?
60.
Which one of the following is equal to ∫( e2x +cosx)dx?
62.
What is the simplified form of
63.
Which one of the following numbers is equal to
64.
what is the solution of the equation