Welcome to your Mathematics national exam 2014
Choose the best answer from given
alternatives
1.
what are the quotient and remainder respectively, when 75 divided by 20 ?
2.
Which of the following is the measure of an exterior angle of a 10 sided regular polygons?
3.
The radian measure of an angle of 120º is equal to:
5.
What is the dot (scalar) product of the vectors
7.
item Which one of the following quantities represents a vector?
8.
What is the surface area of a sphere with radius 6 cm ?
9.
If the volume of a right circular cone is 64π cm² and the diameter of ii base is 8 cm, what is the height of the cone?
11.
what is the image of the circle with equation (x+2)² +(y-2)²=1, when it is rotated through π/6about the origin?
12.
Which one of the following is the derivative of ƒ(x)tan x+3x
13.
Which one of the following is true?
14.
In rolling a fair die, what is the probability of obtaining 3 or 5 ?
15.
what is the locus all points in the plane in which the sum of the distances from two fixed points is constant?
16.
The simplified form of the expression
17.
In ∆ ABC, if AB=10 units, BC=14 units and AC—8 units, then the area of the triangle is
18.
Which one of the following sets is the symmetric difference, A∆ Bof the sets A={1,3,5,6,8,10} B={2,5,8,11}?
19.
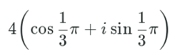
Which one of the following gives the polar form of the complex number
20.
The solution set of the equation given by long (x²-3)=2 log (x-1)is:
21.
which one of the following is the simplified form 
22.
What is the product of the two complex number z=2 -i and w=5+2i ?
23.
Which one of the following is an onto functional from on to [0,∞] ?
24.
The graph of a certain relation fi is represented by the shaded region shown on the figure below.

Which one of the following pairs of sets respectively gives the domain and range of this relation?≤
25.
which one of the following interval is the solution set of the inequality x² -5x+6≤0 ?
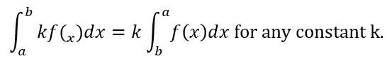
26.
The angle of depression of the top of a flag pole from the top of a building is 40 √3in away from the flag pole is 30 . If the height of thing that is pole is 10m, what is the height of the building?
27.
What is the seventh term of an arithmetic sequence whose third term is -4 and common difference is 5 ?
28.
which one of the following trigonometric values is correct?
29.
The sum of the first 8 terms of a geometric sequence with first term 0.3 and common ratio 1 /10 is equal to:
30.
What are the coordinates of a point that divides the line segment with end points P (0, 1) and Q(5. 6) in the ratio 2 :3 from P
31.
The distance from the point P (3, 4 ) to the line L with equation: 3x+4y-5+0 is
32.
Which of the following is true about the trigonometric values of the given of angles?
33.
A line segment chord in an ellipse which passes through the center and perpendicular to
34.
which of the following is true about bounded sequence?
36.
If f and g are contain functions may NOT he continuous at ?
38.
In order to find point P in space one can start from the origin O(0. 0,0) move 5 units in the direction of negative x-axis, then move 5 units in the direction of positive y-axis and finally move 5 units in the direction of negative z-axis. Which one of the following is the ordered triple of numbers represented by point?
39.
which of the following is the variance of the data given as: 2,3,4,5,6,7
40.
Which of the following is true about the Arithmetic Mean of a given data?
41.
Which of the following pairs of events are depend?
42.
What is the derivative of the function
43.
Let f and g be two functions. Which one of the following statements is true about f or g)
44.
Suppose ƒ is a twice continuously differentiable function and ƒ''(3)=5. If g ( x) ƒ(2x+3), then the second derivative of g at 0 is equal to:
46.
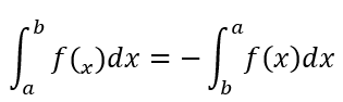
Let ƒ be a continuous function on [a,b]. Then which of the following is NOT true?
48.
Let ƒ be a continuous function R and c be a number in the domain of ƒ. Which one of the following must be true about the function?
49.
If the perimeter of a rectangle is 120 m, what are the length ƒand width wo the rectangle that maximizes its area?
50.
Suppose ƒ is a continuous function on an interval [a,b] and differentiable on [a,b] with the property ƒ (a) =ƒ (b ). Which one of the following must be true?
51.
If A is a 3 x 3 matrix with det (A)— 5, then what is the determinant of 2A t?
52.
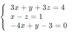
Which one of the following is augmented matrix associated to the system
53.
Which one of the following compound statements has a converse with truth value False?
54.
which one of the following points is, inside
the sphere with equation x²+y²+z²=5
55.
If Birr 20,000 is deposited in a Bank at rate of 12% interest compounded monthly, how long will it take to double the amount?
56.
what is the point of intersection of the medians of Δ ABC whose vertices are given
by A(0. 0), B(6, 0) and C(0. 4) ?
57.
The following is the marks of distribution of the students oblainod is. Mathematics test out of 50

What is the first quartile of the distribution?
58.
Which one of the following is NOT true about the graph of
ƒ
59.
If r1, and r2, are the roots of the equation 3x2+9x+6=0 which one of the following is true?
61.
let P and q be propositions. Which of the following statement is a tautology?
62.
which of the following is NOT true about argument and validity?
63.
Which one of the following is true about the matrix 