Welcome to your mathematics national exam 2013
choose the best answer from the given
alternatives
1.
What is the determinant of the matrix
2.
The additive inverse of the complex number 3 -4i is
3.
What is the modulus of the complex number -6+8i ?
4.
What are the modulus and argument of the complex number ? 2 + 2i respectively?
6.
Which one of the following is the standard form of the equation of the circle centered at (2.- 3) and radius 5 ?
7.
If f is a continuous function on [a,b] and F is its anti-derivative, then which of the following is true?
8.
Which of the following defines the equation of a sphere whose center is at (0, - l , 2) and radius 6 units?
9.
Which of the following represents the vector (3,-5,7) in the space using the standard unit vectors i ,j and k ?
10.
which one of the following is the scalar (dot) product of the vectors (2,-4,6) and (-2,-1,0)?
12.
Which one of the following defines a one to one function?
14.
Which of the following sentences has a truth value?
15.
Which one of the following is the standard form of the equation of the parabola with vertex (4, 6) and focus (—8, 6) ?
17.
Two statements P and q are given by:
P :22/7 is an irrational number.
q: The sum of two odd integers is odd.
Then which of the following has truth value T?
18.
Which one of the following is the contrapositive of the statement: If 21 is a prime number, then 4 is an odd number?
19.
Consider the following frequency distribution table.

What is the sixth decile?
20.
In a certain health center there are 3 doctors, 8 nurses and 2 physicians. In how many ways one can form a group of 5 members consisting of 1 doctor, 3 nurses and 1 physician?
21.
Which one of the following forms represents an exhaustive set of events if a die is thrown once?
22.
A bag contains 2 red, 3 yellow and S green balls. One ball is drawn at random. What is the probability that the drawn ball is NOT yellow?
23.
Which of the following is the product AB of the two matrices
24.
Which one of the following is NOT true about the determinant of a given square matrix A ?
25.
Which of the following is the inverse of the matrix
26.
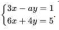
Consider the system of linear equation

Then which of the following is true?
27.
What is the magnitude of the vector whose initial point is at (1, —3) and terminal point is at (4, 1)
28.
Let T be a translation that takes the origin into (2, 3). Then which of the following is true about the translation T?
29.
Which of the following functions represents, the graph shown in below
30.
Which of the following is true?
31.
Which one of the following is the fourth term of the sequences
32.
Which one of the following is a geometric sequence?
33.
A factory that produces electric cable had sales Birr 1, 000, 000 the first day. During each successive days the sales increased by Birr 10,000 every day. What is the total sales of the factory in the first 10 days?
34.
What is the least upper hound of the sequence
35.
Which one of the following sequences is a null sequence?
36.
suppose {an} and {bn} are sequences with

then which of the following is not necessarily true?
38.
which of the following is the same as the derivative of a function f at 90
a point P, where p is on the graph of f?
39.
What is the derivative of the function
40.
what are the 2nd and the nth derivative of f(x)= e³ x respectively
41.
Which of the following is true about zero of a function?
42.
Which of the following is true about the function defined by
43.
What is the number that satisfies Rolle's Theorem for
44.
What are the length L and width W of a rectangle with perimeter 10, 000 m that maximizes the area?
45.
If the radius r of a sphere is increasing at the rate of 2 cm/ min It , then the rate of change of the volume when r=1 cm is
46.
Which of the following is equal to
∫(cos x-2x) dx where c is constant
47.
What is the area of the region bounded by y= 0 and the graph of f (x )=4 —x² on the interval [-1,1] ?
49.
Which of the following statements has a truth value T ?
50.
The inverse of the function y =3x — 5 is equal to
51.
Which of the following is the universal set of the expression
52.
The graph of a rational function is given as in the figure below
Which of the following is NOT true about the
graph?
53.
The equation of a line is given by 3x -2y +6=0 . Then which of the following is true about the line?
54.
which of the following series is convergent?
55.
let f be a function defined on a closed bounded interval [a,b].
which of the following describes that /is
continuous on [a,b] ?ƒ
56.
A position of a particle is given by the equation S (t )=4r— 4t + 1 where t is measured in seconds and S in meters. Which of the following is NOT true about the motion of the particle?
57.
if ƒ'(1)=4, ƒ (1)=3 and g'(3)=5 then (gof) ),(1) is equal to
58.
which of the following is true where c is a constant?
59.
The acceleration of a body at any time I is given by a(t )=4 — 2t 3t with initial velocity v (0) = 5. Then what is the velocity v of the body as a function of time?
60.
Which of the following argument is valid?
61.
Which of the following proof is more suitable to prove the assertion:
62.
Math fest scores distribution of 20 students is given as in Table 2 below?

What is the standard deviation of the scores?
63.
What is the coefficient of x² in the binomial
expansion of 
64.
which of the following is true about the graph of y=-4cos (2x/3)?
65.
The angle of elevation of the top of a tree is found to be 60º as measured from a point on a level ground. What is the height of the tree if the angle of elevation of a point on the tree that is 8 m below the top is 30º is measured from the same point on the ground?