Welcome to your Mathematics national exam 2012
choose the best answer from the given
alternative
1.
Which of the following statements is NOT true?
2.
The following is the frequency distribution of a group data.
Class interval and Frequency (f)

what is the mean of data?
6.
What is the set of parabola is given by y2 +6y+8x +25= 0. Which one of the following NOT true about this parabola?
9.
If P : "the rainy season is very good this year" and q : "river are rising", then the statement "It is not true that neither the rainy season is very good this year nor rivers are rising" denoted by
10.
the distance between point (2,-3)and the line e: x+y -7=0 is
12.
Let {an }be a sequence of real numbers,
Then which of the following is true about the sequence?
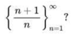
13.
Which of the following is an upper bound for the sequence
14.
Which of the following is the lower bound for the sequence
20.
What is the slope of the line tangent to the graph of f (x)=x2 +tan x at (π, f(π)) ?
π
22.
The product of two positive real numbers is 100 , such that the sum of two times the first number and eight times the second number is minimum. Which of the following pairs of numbers are the first and the second numbers respectively?
23.
Which of the following is a zero for the function f(x)=x3 – 3x2 +3x - 1 ?
30.
If the 1st and 4th terms of a geometric progression are 3 and 81 respectively,
what is common ration for this progression?
33.
The volume of a cube is increasing at a rate of 9 cm² / sec. How fast is the surface area increasing when the length of an edge is 10cm?
34.
The maximum profit that a company can make if the profit function is given by P (x )= 36+72x —18x² is
36.
Which of the following is NOT true about the scalar product of vectors?
37.
Which one of the following is NOT true about transformation?
39.
Areal number o is the limit of a sequence {an} if
40.
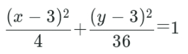
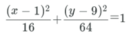
Which one of the following is the standard form of the equation of the ellipse with vertices: (3, 1), (3, 9); and minor axis of length 6
42.
Let P and q propositions with truth value True and false respectively. Then which of the following is correct?
50.
Which one of the following is a row reduced electron form of the matrix
52.
Consider the experiment of rotting a die whose sample space is (1, 2, 3, 4, 5,6). If two dice are rolled simultaneously, what is the probability that a prime number turns up on one of the dice and a composite number on the other?
53.
Consider the following frequency distribution of grouped data.
Values & frequency

Which of the following statements is true this
frequency distribution?
55.
If p and q are proposition, then which one of the following pairs of compound propositions are equivalent?
61.
Which of the following is true about limit of a function?
63.
If the function f and g are continuous at x=c , then which one of the following combinations is continuous at x=c ?
65.
A Geometric Series with first term and common ratio is convergent if