Grade 11 maths 2005

Welcome to your Grade 11 maths 2005

1. 
Which one of the following is the simplest form of

2. 
If Z = cos (π /10) + isin (π/10), then what is the value of Z5?

3. 
What is the value of ∣ x ∣ + 2x if x ≤0 ?

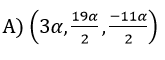
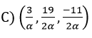
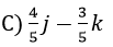
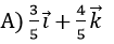
4. 

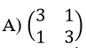
5. 
Suppose that A and B are 3 x 3 matrices, I is the identity matrix of order 3 such that AB=2I. If det B= ∣ B ∣= 6. What is det (AT)?

6. 
For real members x and y, which one of the following statements is true?

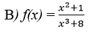
7. 
Which one of the following functions has NO vertical asymptote?

8. 
Let p, q and r be propositions such that p⇒(r ∨ ¬q) is false. Then, which one of the following propositions is true?

9. 
If x2 - 6x + y2 + k = 0 is equation of a circle with radius 2, then what is the value of k?

10. 
If a line with angle of inclination of 3 π/4 passes through (0, 1), which one of the following is the equation of the line?

11. 
Among students who took a quiz, 15 students scored 6, 20 students scored 7, 10 students scored 8 and 5 students scored 10. What is the average score of the students?

12. 
A parabola with focus (3, -1) has directrix y = 3. Which one of the following is the equation of the parabola?

13. 
How many four digit even numbers can be formed from 1, 2, 3, 4 and 5 if the numbers start with 3?

14. 
A satellite moves along a hyperbolic curve whose horizontal transverse axis is 24 km and an asymptote y = 5/12 x + 2. Then, what is the eccentricity of the hyperbola?

15. 

16. 
A committee consisting of 3 students is to be selected from 10 candidates among which 4 are girls. What is the probability that at least one girl is selected?

17. 
A group of six students take their seats at random in a round table for a discussion. What is the probability that two specific students do NOT sit together?

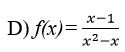
18. 
Given f(x) = ln(x-1) and which one of the following is the domain of f o g?

19. 
The mark that students scored in an examination is grouped in class intervals as shown in the following table.

Class Interval (Mark) Number of Students
55 - 64 8
65 - 74 12
75 - 84 20
85 - 94 6
95 - 100 4

20. 
Consider the following argument:

21. 
A box contains 5 white, 6 red and 4 black balls of all identical size. If 3 balls are randomly taken out of the box after the other, what is the probability that the first ball is white and both the second and third balls are red?

22. 
Which one of the following is the equation of the line tangent to the graph of f(x) = 1/(x+1) + cosx at (0,f(0))?

23. 

24. 
For what value of b does the parabola p(x) = ax2 + x + b pass through the points (-1, 5) and (2, -1)?

25. 

26. 
Which one of the following is equal to sec(π/2 -x) sin3 x + cos2x?

27. 

28. 
What is the solution of cos2 x + 0.5 sin2x=1 in the interval [0, 2π)?

29. 

30. 
What is the cot(arc sinx) if 0 < x< 1?

31. 

32. 
A line given by a vector equation r(t)=(0, 3) + t(1, 1) is tangent to a circle at point (0,3). If the radius of the circle is ?2 which one of the following is the center of the circle?

33. 
Suppose the following statements are the premises of an argument.

34. 
What is the image of the ellipse whose equation is 2(x + 2)2 + (y - 1)2 = 2 under a translation that takes (2, 1) to (4, 0) followed by a rotation of 900?

35. 

36. 

37. 
Which one of the following is necessarily true?

Leave a Reply