Welcome to your Aptitude Social National exam 2014
choose the best answer from the given alternatives
SECTION ONE: Verbal Reasoning ( Questions 1-35)
This section which is subdivided in to analogy, synonyms, antonyms classification, reading comprehension, analytical and logical reasoning canniness 35 verbal reasoning items altogether. Each subsection is followed by is specific direction.
Reading Comprehension I (1 5)
direction: Read the passage carefully and answer questions 1 5. Each question will be based on the information stated or implies in the passage. Then blacken the letter of your choice on the separate answer sheet provided.
If a person suddenly encounters any terrible danger, the change of nature an undergoes is equally great. Sometimes fear numbs our senses. Like animals, one stands still, powerless to move a step in fright or to Mt a hand in defense of our lives, and sometimes one is seized with panic, and again, act more like the inferior animals than rational beings. On the other hand frequently in cases of sudden extreme peril, which cannot be escaped by flight, and must be instantly faced, even the most timid men at once as if by miracle, become possessed of the necessary courage, sharp quick apprehension, and swift decision.
This is a miracle very common in nature. Man and the inferior animals alike, when confronted with almost certain death 'gather resolution from despair' but there can really be no trace of so debilitating a feeling in the person fighting, or prepared to fight for dear life. At such times the mind is clearer than it has ever been; the nerves are steel, there is nothing felt but a wonderful strength and daring. Looking back at certain perilous moments in my own life, I remember them with a king of joy, not that there was any joyful excitement then but because they broadened my horizon, lifted me for a time above myself. Adapted from Reading Comprehension - Practice Questions
1.
The title that best the passage would he.
2.
What is the meaning of the world debilitating?
3.
The author feels happy in the recollection of dangers faced and overcome because
4.
A man may react to sudden danger in some different ways. Some of these are:
5.
Explain the phrase 'gather resolution from danger'.
Classification Items (6 - 10)
Directions: In questions 6 10 a set of four words is given. Three of the words are related in some ways. The remaining word is not related to the first choose the word that does not fit the relation you choice on the separate answer sheet provided.
Directions: Read the passage carefully and answer questions 11 15. Each question will be based on the information stated or implied in the passage. Then blacken the letter of your choice on the separate answer sheet provided.
Daylilies are beautiful perennial flowers that can brighten up any yard or landscape. They are tolerant of drought and flooding, immune to heat stress, and grow well in full sun or light shade. They are the perfect choice for just about any soil or climate condition.
Different varieties of daylilies can be in bloom
from late spring until autumn. Individual flowers last only one day, but each plant produces many buds, and many varieties have more than one flowering period.
Daylilies grow best in soil that is slightly acidic, and they prefer either direct sunshine or light shade. The best time to plant them is in the early fall or early spring, but they are hardy enough to endure planting or transplanting at almost any time of year. They should be planted 18 to 24 inches apart, and the bulb should be no deeper than one inch below the soil's surface. Adapted from Reading Comprehension - practice Questions
11.
According to the passage, what soil is best for daylilies?
12.
You could infer from this passage that these flowers are called day lilies because
13.
How deep should daylilies be planted, according to the passage?
14.
Daylilies grow best in
15.
Which of the following is true according to the passage?
Question 16-18 consist of sentences in which one word is written in bold followed by four other words. Choose the word that is most nearly opposite in meaning to the word in bold Then, blacken the letter of your choice on the separate answer sheet provided.
16.
The officer exaggerated the damage caused by the rowdies and thus made it look more serious.
17.
The speaker was unable to the crowd.
18.
His negative attitude to poor people is deplorable.
Directions: Questions 19 - 26 deal with logical and analytical reasoning. Read the given set of conditions and assumption for each question. Choose the answer that you think is most appropriations among the given alternatives. Then blacken the letter of your choice on the separate answer sheet provided.
19.
Tamrat's train never bothered him because there were always seats available on it, and he was able to spend his time on the train comfortably reading the newspaper or playing games on his mobile phone. Ever since the train schedule changed, train has been extremely crowded, and by the time the doors open at his station, there is not a seat to be found.
20.
It is called Restitution when you compensate someone for damaging his or her property in some way, which of the following situations is the best example of Restitution?
21.
A four person crew is painting Mr. Odom's house. Michael is painting the front of the house. Roza is in the alley behind the house painting the hack. Jemal is painting the window frames on the north side, shawul is on the south. If Michael switches places with Jamal, and Jemal then switches places with shawul, where is shawul?
22.
four friends in the sixth grade were sharing a pizz
23.
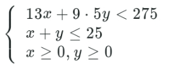
If you are a fitness walker, you don't need to go to a health gym, you also don't need any fitness equipment for workouts. All you need is a pair of comfortable athletic shoes. Which of the following statements does this paragraph?
24.
Sara lives in Adama Her younger cousin Martha lives in a small town in the eastern part of Ethiopia Martha has visited Sara Several times during the past five Years. In the same period of time, Sara has visited Martha only once
25.
Solomon introduced Sara as the mother of his sister's brother. How is Sara related to solomon?
26.
Genet wishes to renovate her cottage. She hires the services of a plumber, a carpenter, a painter, an electrician, and an interior decorator. The renovation is to be completed in a period of one week, i.e. Monday to Friday. Every worker will be taking one complete day to do this job Mrs. Genet will allow just one person to work per day.
The painter can do this work only after the plumber and the carpenter have competed their
The interior decorator has to complete his job before that of the
The carpenter cannot works on Monday or Tuesday. In case the painter works on Thursday, which among the following alternative is possible'
Directions: To answer the : items 27 -31 read each of the following words carefully and choose the word that correctly completes the analogy. Then blacken the letter of your choice on the separate answer sheet provided.
27.
EXERCISE is to GYM as EATING is to:
28.
The EVENING is to IORNING as DINNER is to:
29.
GUN is to BULLET as a BOW is to:
30.
PEN is POET as NEE DLE is to
31.
PLAY is to ACTOR as CONCERT is to:
Synonyms (32 35)
Directions: Questions 32 - 35 consist of sentences in which one word is written in bold followed by four other words. Choose the word that is most nearly similar in meaning to the word in bold Then, blacken the letter of your choice on the separate answer sheet
32.
The special TV report disrupted regular programming due to the day's special events.
33.
He dissipated his inheritance in less than six months and he is now back to where he was
34.
If enough members of parliament dissent, the new law will not be approved.
35.
During the riot, some of the demonstrators looted shop and supermarkets and took the goods to their home.
SECTION TWO: Quantitative Reasoning (Questions 36 - 60) below and select the best answer from the given alternatives and blacken the letter of your choice on the separate answer sheet.

36.
The total expenditure of the firm over these items during the year 2007 is
37.
What is the average amount of tax per year which the firm had to pay during the whole period?
38.
Total expenditure on all these items in the year 2006 was approximately what percent of the total expenditure in the year 2010 ?
39.
The total amount of bonus paid by the firm during the whole period is approximately what percent of the total amount of salary paid during this period?
40.
What is the approximate ratio between the total expenditure on interest on loans for all the years and total expenditure on fuel and transport for all the years?
43.
Given that x and y are negative numbers.
Which of the following is true about the relationship between quantities A and B ?
44.
Given that 21.504

How are quantities A and B related?
45.
Two Six side dice are thrown together. What is the probability that the sun of two numbers on top is 10 ?
46.
Nine identical balls numbered 1 trough 9 are placed in a bag A ball is randomly drawn and replace
47.
Mesfin bought a laptop valued Birr 7700. One year later the value of the laptop is decreased by 2/7 What is the new value of the laptop?
48.
Hamza spent 22 minutes on his English homework and 25.08 minutes on his Mathematics homework. What percent more time does Hamza spent on his Mathematics homework?
49.
Meseret begins a saving program in which she will save Birr 1000 the first year, and each subsequent year will save Birr 200 more than the she did the previous year. How much will she save during the eighth year?
50.
A ball bounces one-half the distance from which it falls. How high does it bounce up on the fifth rebound if the ball is dropped from a height of 20 m?
51.
A contest offers a total of 18 prizes. The first prize is worth Birr 10,000 , and each successive prize is worth Birr 500 less than the next higher prize. What is the total value of all the prizes?
52.
A student earns 13 birr per hour working for the computer center's help desk and 9.50 birr per hour working at the copy center. Because of her course load, she limits her work to 25 hours per week. She wants to earn at least 275 birr each week. Which of the following system of linear inequalities represent this information?
53.
Consider the following system of linear inequalities
x - y ≤ 3
3x - 3y ≥ d
If the solution set of the system is empty, which of the following numbers could be the value of d ?
54.
A Pediatrician uses the model h=3.3a+28.0 to estimate the height h of a boy, in inches, in terms of the boy's age o, in years, between the age of 2 and 5. Based on the model, what is the estimated increase, the inches, of the boy's height each year?
55.
Suppose a chain letter is started by sending a letter to five people and the letter requires each person who receives the letter to send it on to five additional people. Assume that no person receives more than one letter. How many letters are sent all together if the chain reaches the eighth stage?
56.
If the line passing through (x, y) and (-1, 2) has a slope of 3 and the line passing through (x, y) and (2, — 1) has a slope of 1 , then (x, y) equals:
57.
Ali wants to invest a total of Birr 20,000 so that his yearly interest is Birr 1690. If the invests part of it in a bank yielding 8% profit and the other part in a stock at 9.5% profit, how much should he invest at each rate?
58.
The red, green and black lollies in a packet are in the ratio 2-3:5.
How many green and black lollies are there,
if there are 10 red lollies?
59.
At a restaurant the bill came to 82 birr. If you leave 119.72 birr, what percent tip is that?
60.
Suppose the population of a town is given by the model p(t)= 17250
, where t denotes the number of years since 2000.
Which of the following statement is true?