Welcome to your Aptitude national exam 2014
SECTION ONE: Verbal Reasoning (Questions
1-35)
This section which is subdivided in to analogy, synonyms, antonyms, sentence, completion, reading comprehension, analytical and logical reasoning contains 35 verbal reasoning items altogether. Each subsection is following by its specific direction.
Antonyms (1-3)
Directions: Questions 1-3 consist of sentences in which one word is written in hold followed by four other words. Choose the word that us most nearly opposite in meaning to the word in bold.
1.
The guest made derogatory remarks about the food he was served and by doing so he proved to be ungrateful and disrespectful.
2.
All of his brother like milk but he has a strong A version for it.
3.
The inhabitants of the island were barbarians who never lived in the modern world.
Synonyms (4-7)
Directions: Questions 45 consist of sentences in which one word is written nearly similar in meaning to the word in bold. Then, blacken the letter ten in bold followed by four other words. Choose the word that is mount of your choice on the separate answer sheet provided.
4.
The spies conducted a covert operation, without being noticed by anyone.
5.
The designer window treatment in her house, Installed 17 years ago, were outmoded and thus needs to be changed.
6.
She showed a blatant disregard for the rules.
7.
The interior of the hotel is so repulsive that everybody returns as soon as they enter it.
Analogy(8-12)
Directions: To answer the items 8- 12. read each of the following words carefully and choose the word that correctly completes the analogy. The blacken the letter of your choice on the separate answer sheet provided
8.
MARATHON is to RACE as HIBERNATION is to
9.
CUP is COFFEE as BOWEL is to
10.
EMBARRASSED is to HUMILIATED as FRIGHTENED is to
11.
OPTIMIST is to CHEERFUL as PESSIMIST is to
12.
COBBLER is to SHOE as CONTRACTOR is to
13.
Yonas has a paper route. Each morning, he delivers 37 newspapers to customers in his neighborhood. It takes Yonas 50 minutes to deliver all the papers. If Yonas is sick or has other problems, his friend kedir, who lives in the same street, will sometime deliver the papers for him.
14.
Derartu is twelve years old. For three years, she has been asking her parents for a dog. Her parents have told her that they believe a dog would not be happy in an apartment, but they have give her permission to have a bird. Derartu has not yet decided what kind of bird she would like to have.
15.
One of the warmest winters on record has put consumers in the mood to spend money. Spending is likely to be the strongest in thirteen years. During the month of February, sales of existing single family homes hit an annual record rate of 4.75 million. This paragraph best supports the statement that.
16.
Frehiwot likes to let her students choose who their partners will be; however, no pair of students may work together more than seven class periods in a row. Adem and Belay have studied together seven class periods in a row kiya and Africho have worked together three class periods in a raw kiya does not want to work with Adem. Who should be assigned to work with Belay?
17.
The High school English Department needs to appoint a new chair- person, which will be based on seniority. Hawi has less seniority than Temam, but more than Bekelech. Redwan has more seniority than Hawi, bit less than Temam. Temam doesn't want the Joh. who will be the new English department chairperson?
18.
Nurse Nefisa has worked more night shifts in row than Nurse Libamo, who has worked five Nurse Lomi has worked fifteen night shifts in a row, more than Nurses 33. Nefisa and Libamo combined. Nurse Gelga- lo has worked eight-night shifts in a row, less than Nurse Nefisa How many night shifts in a row has nurse nefisa worked?
19.
Critical reading is a demanding process. To read critically, you must slow down your reading and, with a pencil in hand, perform specific operations on the text. Mark up the text with your reactions, conclusions, and questions. When you read, become an active participant. This paragraph best supports the statement that.
20.
Exams are to be conducted on four days from Monday till Thursday. The exams to be conducted are English, Mathematics, Physics and Bi- ology. Neither English Physics to be conducted on Tuesday Neither physics nor mathematics is to be conducted on Tuesday. There are three exams conducted after Biology physics exam is conducted on
Reading Comprehension 1 (21-25)
Directions: Each question is based on the
information stated or implied in the passage.
To read a lot is essential. It is stupid not to venture outside the examination "set books” or the textbooks you have chosen for the intensive study.
Read as many books in English as you can, not as study material but for pleasure. Do not choose the most difficult books you find with the idea of listing and learning as many new words as possible. Choose what is likely to interest
you and be sure in advance that for that deadens
the interest and checks real learning.
Look up a word here and there but, as a general policy try to push ahead, guessing what words mean from the context. It is extensive not intensive reading that normally helps you to get interested in extra reading and thereby improve your English.
You should enjoy the feeling, what extensive reading gives, some command of the language. As you read, you will become more familiar with words and sentence patterns you read, you already know, understanding them better as you meet them in more contexts, some of which may differ only slightly from others. Adapted from Reading Comprehension - Practice Question
21.
The main purpose of the passage
22.
On what factors learning and improving English depends on ?
23.
what is essential when you learn English?
24.
What precautions should you take while choosing a book to read?
25.
Which type of reading can help you?
Reading Comprehension II (26-30)
Directions: Read the passage carefully and answer questions 26-30.
Each question is based on the information stated
or implied in the passage.
(1) Mental and physical health professionals may consider referring clients and patients to a music therapist for a number of reasons. It seems a particularly good choice for the social worker who is coordinating a client's case.
Music therapists use music to establish a relationship with the patient and to improve the patient's health, using highly structured musical interactions. Patients and therapists may sing, play instruments, dance, compose, or simply listen to music.
(2) The course of training for music therapists is comprehensive. In addition to formal musical and therapy training, music therapists are taught to discern what kinds of interventions will be most beneficial for each individual patient Because each patient is different and has different goals, the music therapist must be able to understand the patient achieve his or her goals. The referring social worker can help this process by clearly communicating each client's history. goal of music therapy. Any client who needs particular work on commune
(3) Although patients may develop their musical
skills, that is not the main nictation or on academic, emotional, and social skills, and who is not responding to traditional therapy, is an excellent candidate for music therapy. Adapted from Oxford Practice Book.
26.
Which of the following best sum arises the main idea of paragraph 1?
27.
Which of the following best organizes the main ideas of paragraph 3?
28.
Which of the following would be the most appropriate title for this passage?
29.
According to the information presented in the passage, music therapy can be prescribed for social work clients who.
30.
Which of the following inferences can be drawn from the passage
Sentence Completion (31-35) Direction: Choose the option that best fits the meaning of the sentence as a whole and blacken the letter of choice on the separate answer sheet provided.
31.
The weather outside was extremely pleasant and hence we decided to
32.
She never visits any zoo because she is a strong opponent of the idea of
33.
I felt somewhat more relaxed
34.
Practically, very little work could be completed in the last week as it was
35.
Despite all the efforts made to stop the war,
math
DIRECTIONS: Solve each of the problems given in questions 36-60 below and select the best answer from the given alternatives
36.
Two dice are rolled and the numbers on top are added. What is probability that the sum is less than 4 ?
37.
The table below indicate the school population by gender.

Out of the 100 students, what is the probability of randomly selecting a student is either a female or a senior?
38.
Last year a phone model had a battery that lasted 12 hours. This year the battery lasts only for 8.16 hours. What percent of the battery life has decreased?
39.
A library normally collects 47 birr m fees in a month. But m March they collected 59.22 birr. What is the percent increase In fees collected in March?
40.
Suppose a ball is dropped from a height of 15 m and that it always rebounds to a height equal to two-third of the distance from which it falls. If we let the ball bounce ”forever", what is the total distance it would travel until it comes to rest?
41.
A manufacturer produces two types of telephones. The more expensive model requires 1 hour manufacture and 30 minutes to assemble.
The 769 less expensive model requires 45 minutes to manufacture and 15 minutes to assemble. If the company allocates 150 hours for manufacturing and 60 hours for assembly, how many of each type can be produced?
42.
What are the values of A and B so that the line with equation A x + B y —4 passes through the points (1, 3) and (—2, 4) ?
43.
A large square pizza has 49 pieces (square pieces). Ali, Alemu and Abche ate all the pieces in the ratio 4 :2 :1 , respectively. How many pieces did Alemu eat?
44.
By selling a book for 258 birr a publisher gains 20% profit. For how much should he sell it to gain 30% profit?
45.
The Pythagorean theorem for a right angled triangle is a' 2 + h2 c' Where o and b are legs of the triangle and C is the hypotenuse. If the shorter leg is 10 cm less the other leg and the hypotenuse is 10 cm longer than the other leg, what is the length of the hypotenuse?
46.
Abebe is scheduled to get a raise of birr 250 every 6 months during his first years on the job. If his starting salary is birr 25,250 per year, what is his annual salary at the end of 3 years?
47.
a certain car loses one-tenth of its value each year. If the car is worth Birr 28,000 today, how much will it worth 4 years from now?
48.
A theater has 38 rows of seats. The first row has 17 seats, the second row has 20 seats, the third row has 23 seats, and so on. What is the seat capacity of the theater?
51.
Given that " 7 less than the product of S and a number is x 213."

Which one of the following is true about the relationship between quantities A and B ?
52.
Consider the following table.

how are the quantities related?
53.
If the system of linear inequalities a x+2y >66 x—4 y >8 has no solution, what is a possible value of a ?
54.
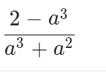
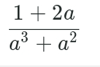
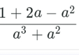
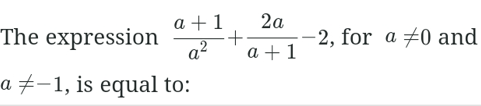
Which of the following linear in equalities define the domain of the expression
55.
at present Meron is three years younger than her brother Tamirat. If Tamirat is n years old now, what will be the sum of their ages three years from now?
Questions 56 60 are based on the table below, which gives the percentage distribution of the population of six towns A, B, C, D and fi on the basis of poverty line and also on the basis of sex.

56.
What will be the number of females below poverty line in town C if the population of town C is 5000 ?
57.
What will be the approximate number of females above poverty line in town A if it is known that the population of town A is 4400 ?
58.
If the male population below poverty line for town F is 2000 , then what is the population of females above poverty line in that town?
59.
59) If the male population below poverty line for town F is 2000 , then what is the population of females above poverty line in that town?
60.
60) If the population of males below poverty line for town C is 624 and that for town E is 675 , then the total population of town C and E are in the ration: