Welcome to your mathematics Social national exam 2012
choose the best answer from the given
alternatives
1.
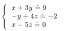
A system of linear equations is given as:

Which one of the following is the augmented matrix for the above system?
2.

Which one of the following is true about E and F ?
3.
What is the range of function ƒ given by ƒ(x)|x-1/2|+3
4.
Which are of the following is equivalent to 
5.
If z1 and z2 are complex numbers, then which one of the following statement is NOT true about them?
7.
A function ƒ is continuous on an interval if and only if
8.
Which one of the following is NOT principle of taxation?
9.
Lat A and B be two sets and ƒ be a function from A in to B(f :A →B). In order to say ƒ is
an on-to function which one of the following condition said be fulfilled?
10.
The frequency distribution table of a grouped data X is given as shown below.

Which one of the following is true about this
data?
11.
Which one of the following is a discrete variable?
12.
Which one is the standard form of the equation of the parabola with vertex (- 2. 3) and focus (2, 3)?
13.
for a given ellipse, what do you call the ratio of the distance between the two foci to the length of the major axis?
14.
When 3.125 is written in the form of d/b , it is equal to
17.
If fourth term of a geometric sequence with positive term is 125 . If the tenth term is 125 /64then which one of the following is the first term this sequence?
18.
Consider the function ƒ(x)=x³ +x²-4x-3 whose graph is shown

Which one of the following is the slope of the
tangent line at (— 2 1)
19.
Which of the following is an equation of the line tangent to the graph of y=x²+e× at ×=0 ?
20.
If ƒ ( x )= 4 —x² sin x, then which of the following expressions describes ƒ'(x) ?
21.
A sum on money is invested at a compound interest calculated annually which amounts to 21,632 Birr at the end of the second year and to 22,497.28 Birr at the end of the third year. Which one of the following pairs of values gives the rate of interest and the principal, respectively?
22.
If 20,000 Birr is divided among three persons in the ratio 5:2:3, the which one of the following is the maximum share?
24.
Which one of the following pairs contains the modulus and argument of the contains number 1+√3i respectively?
25.
if Z1 =5 -3i and Z2=3-4i, then Z1/Z2 is equal to
26.
if f(x)=x+3 log10x, then which one of the following is equal to f'(x)?
27.
Which one of the following events explains the meaning of derivative?
28.
Which one of the following is the set of all critical numbers of f(x)=+ x3 —2x2 well on the interval |—1, 3] ?
29.
Which is of the following statements gives the geometric interpretation of the Rolle’s theorem stated for a continuous function f on [a,b] that ls differentiable in (o, 1) ?
30.
What is then value of k so that f(x)=x/x²+k has a relative extremum at x=2
31.
What is the 3rd decile (D) of the data 2, 5, 3, 4, 4, 11, 9, 8, 7,12, 19 ?
32.
A committee of three members with position the of Chairman, Vice-chairman and Secretary is to be from 10 candidates. If every candidate has equal chance to be selected and to take any of three positions, in how many ways an the committee with specified positions be formed?
33.
if f(x)= In(2 + sinx ), then f'(x) is equal to
35.
Which one of the following is the contra positive of the statement: "If 9 is divisible by 2 , then 5 is an even number"?
36.
If P⇒¬q is False, then for any proposition which one of the following statements is True?
37.
A textile factory produces shirts and
calculates the revenue r, cost c and profit P
as functions of the number of shirts. The
functions are as follows:
r(x) =the revenue from selling x shirts,
c(x) =the cost of producing the x shirts,
p(x)=r(x)-c(x)=the profit from producing
and selling x shirts.
If r(x)=9x and c(x)—x 3—6x 2+15x, where x
represents thousands of shirts produced, then which one of the following statements is correct about the loss or profit gained at the given production level?
38.
Let a function f be continuous on [a,b]and differentiable in (a,b). Which one of the following is correct about f ?
39.
Which one of the following is a possible solution for
40.
Which of the following is true the graph of the function given by f(x)=-8/x²-4
41.
Which one of the following functions is NOT invertible?
44.
Which one of the following sequence has no upper bound?
45.
Which one of the following matrices is the inverse of

46.
if two e1=2x+3y-5=0 and e2 : lax +2y + p=0, are perpendic ular at point (-2,3),then which one pf the following pairs gives the correct values of k and p?
47.
which one of the following is the value of
48.
for all n ∈ Ν which one of the following sequences is a null sequence ?
52.
Consider the following linear programming
model: objective function Z-3 x+5 y
3 x+y 1 x+2 y< 6
x> 0, y>0
Which one of the following the minimum value of Z ?
53.
problem to be solved using linear programming is given as follows: ”A coffce packer blends coffee from Harar and from Sidama to prepare two kinds products, viz, ' Super' and ”Deluxe brands. Each kilogram of Super coffee contains 0.5 kg of Harar coffee and 0.5 kg of Sidama coffee, whereas Deluxe coffee contains 0.25 kfi of Harar coffec and 0.75 kg of Sidama coffee. The packer has 120 kg of Harar coffee and 160 kg Silyna cuffee in the store. Moreover, the plan is to get 20 Birr profft each kilogram of Supper coffee and a profit of 30 Birr on each kilogrem of Delure coffee. In arder to maximize profit the packer needs to kaion the amount (in kg ) of each brand of coffee that should be blendec. If o the amount of Super coffee in kilogram and P the amount of Deluxe coffee in kilograms, then which one of the following standard forms of linear programming models should be used to solve the above problem?
54.
A person has 2 parents, 4 grandparents, 8 great grandparents and so on. What is the total number of his ancestors during the ten generations preceding his own?
55.
Assuming that the population of Ethiopia increases at the rate of 3% per year and the current population is 102 million, which one of the following is the best approximate of the population of Ethiopia 10 years from now?
56.
What is the number that satisfies the
conclusion of the Mean Value Theorem for f(x)=x³ -1 on the interval [0,2] ?
57.
A water tank is m the form of a right circular cylinder with base radius 2m and height 3m . If water is pumped into the tank at the rate of 0.5 m³/min, what is the rate at which the water level is rising?
58.
What is the tangent of the angle formed by the lines 2x+3 y=5 and x-2 y=4
59.
If the line y= 2x+1 is tangent to a circle centered at (4, 0), then what are the coordinates for the intersection point of the line and the circle?
60.
Which one of the following triplets of values of x,y and z contains all solutions for
4 x—y + z=- 5
2 x+2 y+3z=10 ?
5x-2y+6z=1
62.
What is the maximum possible interval on which f continuous?
63.
Among a group of 200 students who are asked whether or not they like Mathematics and/or History, it is found that 80 of them like Mathematics only, 20 like History and 40 like both. If a student is randomly selected from the group, what is the probability that the likes neither Mathematics nor History?
64.
what is the six term in the expanded form of (x+2y)8 ?
what is the six term in the expanded form of (x+2y)8?