Welcome to your Mathematics social exam 2011
choose the best answer from given alternatives
2.
What is the simplified form of 
3.
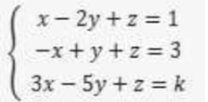
Consider the following system of equations:

How much must be the value of k so that the
system has a solution?
4.
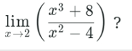
if
then what is the value of x ?
5.
Ι
7.
If the circle passing through the point (-1, O) touches the y-axis at (0. 2), then what is the equation of the circle?
8.
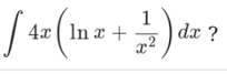
What is the value of
What is the value of 
9.
Everyday a person saves 5 cents more than the amount he saved on the previous day. His target is to save the total amount of 3223 cents by the end of 30 days. How much must be the starting saving to meet the target?
10.
If there are two children in a family, what is the probability that there is at least one girl in the family?
12.
Which one of the following is true about the pair of lines: 3x+ 9y =24 0 and 4x+12y +32 =0?
13.
If A is a 3 x3 matrix and det (A)= 5, then
how much is det (2 A T A) ?
14.
Which one of the following is the multiplicative inverse of 
15.
What is the value of 
16.
What is the value of 
18.
What is the value of
19.
Among 2000 students who took a regional exam, the percentile of certain student s score is 90 . Which of the following is correct about the student s score?
22.
The center of a circle on the line y=2x and the line x= 1 is tangent the circle at (1. 6). How long is the radius of the circle?
23.
Which one of the following is the set of critical numbers of 
24.
If → P ⇒r is false and p ⇔q is True, then which of the following is True?
25.
A man wants to fence two identical rectangular enclosures in a field alongside a straight river as shown in the following figure.

What is the maximum area of each enclosure that he can make with 192 meter fencing material if the side along the river does not need a fence?
²
26.
If ƒ(x)=x³-2x+1, then which one of the following is NOT true?
30.
What is the area of the region hounded by the lines x= 0, x= 2, and y=1 and the curve y = e2x
31.
If f is the greatest integer function and g is the absolute value function, then what is the
value of
32.
Which one of the following is true about the
graph of
33.
What is the solution of 
34.
The earth's orbit has a semi-major axis a ≈ 149.6Gm (gig meters) and an eccentricity of e= 0.017. What is the approximate value of the semi- minor axis?
35.
A water tank is a rectangular parallelepiped with base length 3 m. width 2 m and height 2.5 m. If water is flowing into the tank at the rate of 0.12 m3/sec, then how fast does the level of water rise up in the tank?
36.
What is the sum of the infinite series
37.
The marks of 50 students is given below:

If the median of the data is 26 , what are the values of f1 and f 2 ?
38.
There are three children in a room with, ages four, five, and six. If a five -year - old child enters the room, then which of the following statement is correct?
39.
For real numbers x and y, which one of the following is NOT true?
40.
If the second and fifth terms of a geometric progression are 1/2 and 1/16 respectively, what is the sum of the first eight terms of the sequence?
41.
Which one of the following is a valid argument?
42.
What is the value of 
43.
Suppose 2,500 items are produced by a machine and 2% of the product are randomly selected and tested. If 5 of the tested items have a defect, then what is the probability that an item produced by the machine has NO defect?
45.
π
46.
What is the limit of the sequence
49.
Fatuma can solve 90% of the problems given in a book and Mesfin can solve 70%. What is the probability that at least one of them will solve the problem, selected at random from the book?
50.
What is the polar form of
51.
Which of the following is a correct assertion that can be proved by the principle of mathematical induction?
52.
The diagram below is a representation of a 25 in vertical observation tower TO and two cars K and L on a road. The angle of depression from T to car L is 300 - . The angle of elevation from car K to the top of the tower is GO0 .B. K and L lie in a straight line and lie on the same horizontal plane as the base of the tower.

What is the distance between the two cars?
53.
Ship A and B depart from the same point at the same time on the course N600 E and N400 E, respectively. If the speed of ship .A is 20 km per hour and the speed of ship B is 30 km per hour, what is the distance between the two ships just after 30 minutes of their departure?
[You may lake: cos (400 )=0.77, cos (2000.94. sin (200 )= 0.34 ]
56.
What is the value of
Cot 2700 +2cos 900 +4sec 1800 ?
57.
What is the image of the circle
x2 +y2 -4x-6y+11 =0, when the origin is shifted to the point (1, 1) after translation of axes?
59.
∀n ∈ N,3n 2 is prime that can be proved or disproved by which one of the following mathematical proofs?
60.
When the plane is rotated 450 about the point (1, —2), then what would be the image of the point (2. 4) ?
61.
Which one of the following is a valid assertion that can be proved by the principle of mathematical induction?
62.
If the point (∝, 0, 3) is on the sphere centered at (1. 2, 3) with radius 2 , what is the value of ∝ ?