Welcome to your MATHEMATICS SOCIAL ENTRANCE 2015
MATHEMATICS SOCIAL ENTRANCE 2015
1.
Consider the functions f, g, h and m defined by f(x)=√(x−7), g(x)=log₃x, h(x)=2^(x+1), and m(x)=(x+1)². Which one of the following is true?
2.
Which one of the following is the slope of a line passing through the points P(1/2, -2) and Q(-5, √3)?
3.
Which one of the following is true for the values of the trigonometric functions for the indicated angles?
4.
Which one of the following is true about the function f(x)=cosx?
5.
In △ABC shown below, the medians BD and AE of △ABC are concurrent at O. If BD=15 cm, OD=5 cm and AO=BO, then which one of the following is NOT true?
6.
Which one of the following statements defines frustum of a pyramid?
8.
A frustum of a cone is formed from a right circular cone of height 15 cm. If the base radii of the frustum are 2 cm and 3 cm, where the height from the smaller base to the vertex is 4 cm, what is the volume of the frustum of the cone?
9.
Which one of the following is the converse of the conditional statement "If life in Ethiopia was simpler, then people in Ethiopia would not go to other nations."?
10.
Which one of the following pairs of functions, f and g, are inverse to each other?
11.
Which one of the following is equation of the tangent line to the circle (x-2)²+y²=10 at (5,1)?
12.
Which of the following is the possible standard form of equation of an ellipse whose center is at (-1,0), length of major axis is 3 and that of the minor axis is 2?
13.
The foci of a hyperbola are (-2,4) and (8,4), and the length of its conjugate axis is 8. Which one of the following is the standard equation of the hyperbola?
14.
If a regular polygon circumscribes a circle and the sides of the polygon touch the circle at exactly seven points, what is the maximum number of lines of symmetry of the polygon?
15.
Which of the following defines a prime number?
16.
Which one of the following statements is true?
17.
Which one of the following is the solution set of:
18.
Which one of the following is the solution set of: |9x - (1 - x)| + 4x= 1?
20.
Which one of the following interval(s) is the solution set of the quadratic inequality 10x² - 4x - 6 < 8x² + 4x - 12?
21.
For a parallelogram ABCD, the length of side AB is equal to the length of side of a square with area 64 cm². If the length of side BC of the parallelogram ABCD is 3cm and m (∠ABC) = 120°, what is the area of ABCD?
22.
Which one of the following is true about the function
Which one of the following is true about the function 
23.
A student took 5 Model Exams and scored 85,88,90 and 92 four subjects namely Engilsh, Geography, Economics and History exams respectively. she did not Know her score in Mathematics exam but she knew that her mean in all five exams is 90. What is here score in Mathematics?
24.
Which one of the following is a vector quantity?
25.
If the polynomial f(x)=x4-9x2+22 is divided by x-2, wich one of the following are the quotient and remainder respectively?
26.
Let x and y be real numbers and x >0. If y=
log√10 (1/x), which one of the following equations is true ?
27.
Consider the graph of f(x)=log (x+3) which is shown below

which one of the following is not true about the function ƒ ?
28.
Let p,q and r propostions. if the truth value of the proposition [(p⇒ q)∧r]⇒q is False . Then ; the converse of which proposition has truth value True?
29.
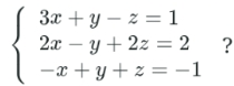
Consider the system of equations
. Which one of the following is the correct augmented matrix of the given system?
30.
The following table shows the age distribution of Grade 12 students in one section of a certain school.

Which one of the following is the mean age of in year?
31.
The following table shows the frequency distribution of scores of students in Mathematics Mid -Exam which was marked out of 50.

Which one of the following is true about the distribution of scores?
32.
A committee of five members was formed from 6 female and 4 males. How many different committees can be formed that comsists 3 females and 2 males?
33.
Let M=
and Q=
be give matrices . which one of the following is true?
34.
if we toss a coin three times, what is the number of possible events of getting at least two heads?
35.
A woman wants to buy a new car that costs Birr 1,100,000. she paid Birr 870,000 and agreed with the seller to pay Birr 10,000 per month to cover the remaining amount at 0% interest rate. How many months will it take the woman to pay the remaining money ?
36.
Which one of the following statements is true?
37.
Which are of the following geometric series is convergent?
38.
Which one of the following limit values is correct for the limit of the given function?
39.
Which one of the following is the correct definition of continuity of a function on the given interval?
41.
A man deposited Birr 5000 in a bank with annual interest rate of 14% compounded semi-annually. What is the total interest earned at the end of the second year approxmately?
42.
Which one of the following is true about the determinant of a matrix
43.
Which one of the following is true about addition of complex numbers?
44.
Which one of the following is true about the system of linear equations

45.
Which one of the following is true about the product of complex numbers?
46.
on the coordinate plane a graph is given as shown below.

Which one of the following system of linear equations has the above shaded region as its solution ?
47.
which one of the following is the minimum value of the objective function Z=2x-5y, subjected to the constraints:
48.
A man purchased a house from a Real estate for Birr 3,550,000 and made a down payment of 20% of the purchase price. The Real estate from which he purchased the house charges an annual interset rate 8% on his 15 years mortgage. Then what is the monthly mortgage payment?
49.
Which one of the following integrals of trigonometric functions is true
50.
What is the area (is square units) of the regions bounded by the graph of the equations f(x)=2x+1, y=0, x=-1 and x=4?
51.
What is the area (in square uints ) of the regions enclosed by the curve f (x)=x 2-4x+3, the x-axis the vertical lines x=-1 and x=3?
52.
Suppose the following data represents the weight in Kg of 10 students in a classroom.
61,49,52,68,61,55,64,63,67,60
Which one of the following is NOT true about the data?
53.
The following table shows the first quartile Q1 and the third quartile Q3 of two data sets X and Y.

Which if the following is true about the given data?
54.
Students in class P, Q, R and S took similar test which is marked out of 20. The following table shows the mean score and the standard deviation of scores of the students in each class. Class Mean Standard Deviation

Which of the following statements is true about the these data?
Test result of class P students is more
55.
Which one of the following statements is true?
56.
If ƒ and g are functions defined by f(x)= x7-10x5+x3 and g(x)=e -2x then which one of the following is true?
57.
The following table is the distance traveled by a car in agiven times

Which of the following time interval has the maximum average rate of change of the distance with respect to time ?
58.
Which one of the following is true about the derivative of the given functions?
59.
Which one of the following is true about zero of a function?
60.
Which one of the following is NOT true about the derivative of a function?
61.
Which one of the following is true about integration and differentiation ?
62.
if a rectangular region of length x and width y has an area of 64 m2, what are the values of x and y such that its perimeter is minimum
63.
Which one of the following is an equation of the line tangent to the graph of f(x)= x3-3x2+x+1 at (1,0)?