Welcome to your የ6ኛ_ክፍል_የአካባቢ_ሣይንስ_ሞዴል_001
የ6ኛ ክፍል የአካባቢ ሣይንስ ሞዴል 001
1.
ቀይ ባህር ምስራቅ አፍሪካን በየት በኩል ያዋስናል?
2.
ከሚከተሉት ሀገራት መካከል የምስራቅ አፍሪካ ሀገር የሆነዉ የቱ ነዉ ?
3.
ከመስራቅ አፍሪካ ሀገራት መካከል የምድር ወገብ ሚያቋርጥ ሀገር የትኛዉ ነዉ?
4.
ስለ ምስራቅ አፍሪካ አንፃራዊ መገኛ ትክክል ያልሆነዉ የቱ ነዉ?
5.
የምስራቅ አፍሪካን ፍፁማዊ መገኛን በትክክል ሚገልጽ የትኛዉ ነዉ ?
6.
የምስራቅ አፍሪካ ቀንድ ሀገር ያልሆነዉ የቱ ነዉ ?
7.
ከሚከተሉት ሀገራት መካከል ምስራቅ አፍሪካን የሚዋስን ሀገር ትኛዉ ነዉ?
8.
በህንድ ዉቅያኖስ ዉስጥ ከሚገኙ ደሴቶች መካከል ትልቁ ደሴት የቱ ነዉ?
9.
ታላላቅ ሀይቆች ክልል ምስራቅ አፍሪካ ንዑሳን ክልል ዉስጥ አንዱ ነዉ፡፡ በዚህ ታላላቅ ሀይቆች ክልል ዉስጥ ያሉት ሀገራት የትኞቹ ናቸዉ?
10.
ከምስራቅ አፍሪካ ሀገራት መካከል የባህር በር የሌላት ሀገር የቷ ናት?
11.
ኢንተርኔትን በመጠቀም የተለያዩ መረጃዎችን እና ዕዉቀቶችን የሚያገኙበት መፈለጊያ ስልት የቱ ነዉ?
12.
በሳታላይቶች አማካኝነት አለማቀፋዊ በሆነ ሁኔታ በምድር ላይ ያሉ ቦታዎች እና አቅጣጫዎችን የምንለይበት መተግበሪያ የትኛዉ ነዉ?
13.
ከሚከተሉት መካከል የጂፒኤስ ጥቅም የሆነዉ የቱ ነዉ?
14.
በሳታላይቶች አማካኝነት የመሬትን ትክክለኛ ገጽታ የሚያሳይ መተግበሪያ የቱ ነዉ?
15.
ከሚከተሉት አማራጮች መካካል ስለ ካርታ መፈለጊያ መተግበሪያ ትክክል ያልሆነዉ የቱ ነዉ?
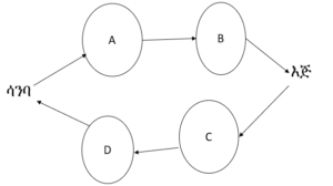
16.
የሚከተለዉን ስዕል መሠረት በማድረግ ተራ ቁጥር 16 ላይ ያለዉን ጥያቄ መልሱ፡፡

17.
ቀኝ ተቀባይ ልበ ገንዳን የሚያመለክተው ፊደል የትኛው ነው?
18.
ከሚከተሉት አማራጮች መካከል ስለ ቀጫጭን የደም ስሮች ትክክል የሆነው
19.
ኦክስጂንን ከሳንባ ተቀብሎ ለተለያዩ ለሰውነታችን ህዋሶች የሚያደርስ የደም ህዋስ የቱ ነው?
20.
ከሚከተሉት የልብ ገንዳዎች መካከል በጣም ወፍራም ግድግዳ ያለው የቱ ነው?
21.
በጉርምስና እና በኮረዳነት ወቅት በወንዶች ላይ ብቻ የሚታይ አካላዊ ለወጥ የሆነው የቱ ነው?
22.
አየርን ወደ ውስጥ ስንምግ የሚጠቅሙን የትንፈሳ አካላት በቅደም ተከተል ትክክል የሆነ የቱ ነው?
23.
ከሚከተሉት ውስጥ ስለ ኢምጋት ትክክል ያልሆነ የቱ ነወ?
24.
ከሚከተሉት መካከል የሥርዓተ ትንፈሳ ጥቅም ያልሆነው የቱ ነው?
25.
ከሚከተሉት የሥርዓተ ትንፈሳ አካላት ውስጥ አየርና ምግብ በጋራ የሚተላለፍበት አካል የቱ ነው?
26.
ከተሰጡት አማራጮች መካከል ስለ ድብልቅ ትክክል የሆነው የቱ ነው?
27.
ከሚከተሉት ቁሶች መካከል ድብልቅ የሆነ የቱ ነወ?
28.
ከሚከተሉት ድብልቅ ዉስጥ ዋህድ -ዘር ድብልቅ የሆነው የቱ ነው?
29.
በአይናችን ወይም በአጉሊ መነፅር መለየት የምንችለው ድብልቅ የትኛው?
30.
በቀረራ ዘዴ የምንለያቸው ድብልቆች የምን ልዩነት ያላቸው ድብልቆቾ ናቸወ?
31.
ከአሸዋ፣ከጨውና ውሃ ድብልቅ ውስጥ ጨውን ለመለየት የምንጠቀማቸው ዘዴዎቾ በቅደም ተከተል ትክክል የሆነው የቱ ነው?
32.
ከሚከተሉት የጉልበት ምንጮች መካከል ታዳሽ የጉልበት ምንጭ የሆነው የቱ ነው?
33.
የጉልበት ጥቅም የሆነው የቱ ነው?
34.
ከሚከተሉት መሳሪያዎች መከካል በመፈንቅል ሥር የሚመደበው የቱ ነው?
35.
ከሚከተሉት የምስራቅ አፋራካ ሀገራት መካከል ዝቅተኛ የሙቀት መጠን የሌለው የቱ ነው?
36.
የምስራቅ አፍሪካ ሰሜናዊ ክልልዝናብ የሚያገኙ በየትኛው ወራት ነው?
37.
ከሚከተሉት የምስራቅ አፍሪካ ሀገራት መካከል ዝቅተኛ የዝናብ መጠን በአማከኝ ከ250ሚ.ሜ በታች የሆነ የዝናብ መጠን ያላቸው ሀገራት የትነኞ ናቸው?
38.
የኢትዮጵያና ኬንያ ከፍተኛ ቦታዎች የሚያገኙት የዝናብ ዓይነት ምን ይባላል?
39.
ከተሰጡት አማራጮች መካከል የተፈጥሮ ሀብት ያልሆነው የቱ ነው?
40.
ከሚከተሉት ውስጥ የተፈጥሮ ሀብት እንክብካቤና አጠቃቀም ዘዴዎች የሆነ የቱ ነው?
41.
ከሚከተሉት ማዕድናት መካከል በኢትዮጵያ የሚገኝ ማዕድን የቱ ነው?